共悦·SABCS特辑丨李荣教授:T-DXd引领新型ADC,构筑乳腺癌脑转移防治的全程管理证据链

作者:肿瘤瞭望   日期:2026/1/7 14:15:02  浏览量:1422

肿瘤瞭望版权所有,谢绝任何形式转载,侵犯版权者必予法律追究。

“脑转移”对乳腺癌患者而言如同“死神的召唤”,对临床医生而言则是难以逾越的治疗障碍。除了技术手段不断精进的局部治疗以外,近年来新型靶向和抗体偶联药物(ADC)在乳腺癌脑转移患者中展现了巨大的应用潜力,尤以德曲妥珠单抗(Trastuzumab deruxtecan,T-DXd)积累的循证医学证据最为丰富,涵盖了临床试验到真实世界,不同分子亚型、不同脑转移模式和疾病状态的患者。在近日举行的2025年SABCS大会上,有多项研究聚焦于新型ADC治疗脑转移乳腺癌领域。《肿瘤瞭望》特邀南方医科大学南方医院李荣教授总结和点评如下。

编者按:“脑转移”对乳腺癌患者而言如同“死神的召唤”,对临床医生而言则是难以逾越的治疗障碍。除了技术手段不断精进的局部治疗以外,近年来新型靶向和抗体偶联药物(ADC)在乳腺癌脑转移患者中展现了巨大的应用潜力,尤以德曲妥珠单抗(Trastuzumab deruxtecan,T-DXd)积累的循证医学证据最为丰富,涵盖了临床试验到真实世界,不同分子亚型、不同脑转移模式和疾病状态的患者。在近日举行的2025年SABCS大会上,有多项研究聚焦于新型ADC治疗脑转移乳腺癌领域。《肿瘤瞭望》特邀南方医科大学南方医院李荣教授总结和点评如下。
 
 
乳腺癌是发生脑转移最为常见的实体瘤之一,仅次于肺癌,总体的脑转移(包括脑实质和软脑膜转移等)发生率可达20%~35%,其中,约一半的晚期HER2+乳腺癌和近三分之一的晚期三阴性乳腺癌(TNBC)可发生脑转移,晚期HR+乳腺癌的发生率也可达15%[1-2]。由于肿瘤的破坏和占位效应,脑转移患者可表现出进行性头痛、癫痫、认知障碍等,预后和生活质量极差。其中,乳腺癌脑转移患者中位总生存时间(mOS)在不同亚型中也有所不同,HR+/HER2+乳腺癌为16~19个月,HR-/HER2+乳腺癌为11~13个月,HR+/HER2-乳腺癌为7~9个月,TNBC不足5个月[3]。在血脑屏障(BBB)的限制下,传统的化疗和大分子药物难以聚集到脑转移病灶,手术、放疗等局部治疗仍是脑转移患者的主要治疗手段,但局部治疗存在手术创伤大、全脑放疗认知损伤等局限。因此,亟需为患者寻找新的,能够兼具生存和生活质量获益的新型治疗策略。
 
近年来,小分子TKI和新型ADC在乳腺癌脑转移领域展现了积极的应用潜力,并逐渐影响临床实践。尤其以T-DXd为代表的新型ADC取得了令人惊喜的全身治疗效果。一方面由于脑转移患者BBB被通过性更高的血-肿瘤屏障(BTB)所取代[4],另一方面则由于高药物抗体比(DAR)和“旁观者效应”使局部载药浓度大大增加,T-DXd不断拓展了抗HER2治疗边界,并且对脑转移患者显示了非常高效的颅内外控制效果。DB系列研究已经将T-DXd的应用人群从HER2+拓展到HER2低表达(IHC 1+,IHC 2+/ISH-)、超低表达(膜微弱染色的IHC 0)患者,从HER2+的后线治疗到一线治疗以及早期辅助治疗,均积累了丰富的3期临床试验证据。
 
值得一提的是,下面多项关键研究中纳入了基线脑转移的患者,显示了与总体人群一致的治疗获益;尤为令人关注的是,较大样本的3b/4期DB-12研究[5]纳入了活动性和稳定性脑转移的HER2+乳腺癌患者,T-DXd治疗脑转移队列患者的中位PFS长达17.3个月,12个月PFS率为61.6%,12个月CNS-PFS率为58.9%;CNS-ORR高达71.7%,其中初治患者的CNS-ORR高达82.6%。本次SABCS大会有多项研究聚焦于新型ADC治疗乳腺癌脑转移,取得了令人振奋的研究结果。
 
HER2+脑转移
DB-12和真实世界的“同频共振”
 
尽管HR+乳腺癌是预后相对较好的亚型,且脑转移率低于HER2+和TNBC,但传统内分泌治疗和CDK4/6i并不能增加脑转移治疗获益。那么,HR状态对T-DXd治疗脑转移乳腺癌患者是否有影响?2025年SABCS大会报道了DB-12研究的一项事后分析[6]显示:T-DXd治疗HR+和HR-脑转移患者的ORR分别为81%和54%,CNS-ORR分别为56%和42%;1年PFS率分别为64.2%和50.8%,1年CNS-PFS分别为60.1%和56.8%;1年OS率分别为89.0%和92.4%。此外,HR+和HR-患者使用T-DXd治疗的安全性并无显著差异。DB-12的这项事后分析表明,T-DXd治疗HER2+脑转移患者的疗效不受HR状态影响,均表现一致的疗效提升。期待未来有更多T-DXd应用于HR+且HER2-或HER2低/超低表达脑转移患者的研究探索,可为HR+脑转移患者带来更多治疗突破。
 
△DB-12研究:不同HR状态脑转移患者的肿瘤缓解和PFS/CNS-PFS
 
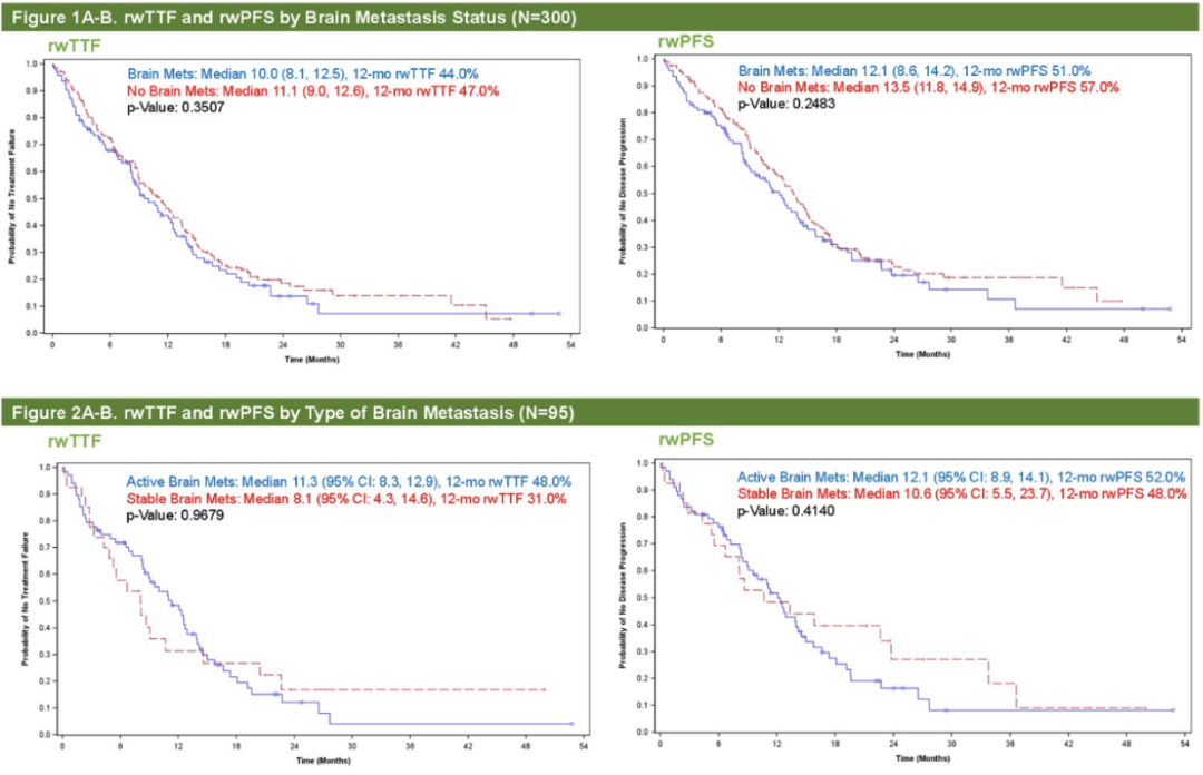
DB-12研究作为上市后的大样本3b/4期临床试验,验证了T-DXd在活动性/稳定性脑转移和非脑转移患者中的积极疗效和安全性,此次SABCS大会报道的回顾性研究,也提供了一致的真实世界证据。一项来自美国的真实世界研究[7]共纳入300例晚期HER2+乳腺癌患者,其中95例为脑转移(68例活动性或27例稳定性),有高达76.7%的患者中位既往治疗线数≥3;研究结果显示T-DXd在脑转移和非脑转移(12.1 vs 13.5个月,P=0.2483)、活动性脑转移和稳定性脑转移(12.1 vs 10.6个月,P=0.4140)的rwPFS具有一致的治疗获益。这些研究验证了T-DXd能够对非脑转移和脑转移(包括活动性和稳定性脑转移)HER2+乳腺癌“一网打尽”,产生积极的颅内和颅外缩瘤和控制效果。
 
△美国真实世界研究:T-DXd用于脑转移和非脑转移的rwTTF和rwPFS
 
图卡替尼作为小分子TKI,是NCCN和ESMO等国际指南推荐的HER2+乳腺癌脑转移的治疗标准之一。一项来自美国的多中心回顾性研究[8],纳入了255例接受T-DXd(138例,54%)或图卡替尼(117例,46%)二线治疗的HER2+乳腺癌脑转移患者。研究结果显示,T-DXd组患者的中位至下一线治疗时间(TTNT)相较于图卡替尼组显著延长6个月(17 vs 11个月,对数秩检验P=0.006),调整人口统计学和临床协变量后,T-DXd组患者后续治疗需求的可能性相较于图卡替尼组显著降低48%(HR 0.52,95%CI:0.37-0.74;P<0.001)。该研究在真实世界中将T-DXd与小分子TKI图卡替尼进行直接对比,显示T-DXd的TTNT疗效优于图卡替尼方案,未来值得进一步开展前瞻性研究,支持T-DXd作为HER2+乳腺癌脑转移的优选方案。
 
△美国真实世界研究:T-DXd对比图卡替尼治疗HER2+脑转移乳腺癌的TTD差异
 
HER2低表达
前瞻性和回顾性RWS的“前后呼应”
 
T-DXd通过3期DB-04、DB-06研究拓展了抗HER2治疗的边界,为HER2低/超低表达的晚期乳腺癌患者增加了治疗选择,并且前移至未经化疗的前线治疗人群。本次SABCS大会报道的日本HALLOW研究[9],是一项前瞻性真实世界研究,计划入组600例化疗经治的脑转移或非脑转移HER2低表达晚期乳腺癌(其中HR-队列200例,HR+队列400例),以观察T-DXd的真实世界疗效和安全性。
 
△日本HALLOW研究设计
 
此次报道了33例活动性脑转移患者(25例HR+/HER2-Low,8例HR-/HER2-Low)的数据,估计的ORR为18.2%(HR-队列0.0%,HR+队列24%),中位rwPFS为6.7个月,6个月PFS率59.0%(HR-队列46.6%,HR+队列85.7%),6个月OS率为77.1%(HR-队列80.0%,HR+队列77.3%)。颅内ORR(IC-ORR)为6.3%(HR-队列12.5%,HR+队列4.2%),中位颅内PFS(IC-PFS)为8.0个月,6个月PFS率57.6%(HR-队列71.4%,HR+队列46.8%)。治疗相关的≥3级不良事件发生率为26.2%,其中观察到2例(4.8%)≥1级的肺间质病变(ILD)。该真实世界研究在DB-04研究基础上,补充了T-DXd用于活动性脑转移HER2低表达乳腺癌患者的数据,结果显示了积极的抗肿瘤活性,且ILD发生率低于临床试验报道数据。
 
△HALLOW研究:T-DXd治疗HER2低表达脑转移乳腺癌的OS和rwPFS/IC-PFS
 
另一项来自美国IntegraConnect电子数据库的真实世界研究[10],收集了接受T-DXd治疗的374例HER2+和512例HER2低表达晚期乳腺癌患者数据,其中分别有94例和80例为脑转移患者。研究结果显示,HER2+脑转移患者的至治疗停药或死亡时间(TTD)、TTNT和OS分别为9.2个月、14.1个月和14.1个月;HER2低表达脑转移患者的TTD、TTNT和OS分别为3.0个月、5.8个月和10.2个月,展现了T-DXd治疗HER2阳性和低表达脑转移患者的积极抗肿瘤活性。
 
百花齐放
不同靶点ADC“精准锚定”乳腺癌脑转移
 
T-DXd作为新型HER2 ADC,在乳腺癌脑转移治疗中积累了丰富的循证医学证据,针对不同分子亚型、不同脑转移类型的乳腺癌均有积极的全身疗效和安全性。除此以外,不同靶点的新型ADC在乳腺癌脑转移治疗中也展现了积极的应用前景。在Trop2 ADC方面,一项来自中国的真实世界研究[11],分析了58例接受SG治疗的HER2-脑转移乳腺癌患者,ORR为34.5%,中位rwPFS和rwOS分别为4.41个月和16.32个月。另一项在美国开展的多中心2期DATO-Base研究[12],报道了10例接受Dato-DXd治疗的软脑膜转移乳腺癌患者,取得了34.5%的ORR,中位rwPFS和中位rwOS分别为4.41个月和16.32个月。
 
Patritumab Deruxtecan(HER3-DXd)是一种靶向HER3的ADC,既往报道的2期TUXEDO-3研究队列1显示对脑转移乳腺癌的积极活性。本次SABCS大会报道了该研究的一项亚组分析[13],在10例经过T-DXd治疗的HER2+脑转移(9例活动性脑转移,1例软脑膜转移)患者中,IC-PFS为6.3个月,颅外PFS为11.3个月,中位OS为8.1个月。
 
△2025年SABCS大会报道T-DXd治疗HER2+或HER2低表达乳腺癌脑转移的研究(非头对头比较,请谨慎解读)

专家点评

李荣教授:T-DXd是新型ADC的代表性药物,具有高药物抗体比(DAR 8)、载荷活性强且不易交叉耐药、连接子可裂解、抗肿瘤旁观者效应等多重药物机制优势,使其在乳腺癌领域带来了一系列新的治疗变革。在HER2+乳腺癌领域,从DB-03树立二线治疗新标准,到DB-09研究全球首次成功挑战标准一线治疗THP方案,再到DB-05和DB-11研究,再次提升早期(新)辅助治疗获益的“天花板”;在传统HER2-乳腺癌领域,DB-04研究率先拓展了HER2低表达的治疗获益,而DB-06研究进一步前移至化疗初治患者且扩展治疗到HER2超低表达人群。
 
在DB系列研究中,大多纳入了部分基线稳定性脑转移的患者,均显示T-DXd有积极的抗肿瘤活性,如DB-03研究中T-DXd相较于T-DM1改善HER2+脑转移患者的PFS(15.0个月vs.3.0个月),提高ORR(67.4%vs.20.5%)和IC-ORR(28.6%vs 2.9%)[14]。DB-12则是一项较大规模的上市后3b/4期,其脑转移队列患者包含了稳定性和活动性,ADC初治和经治等不同人群,既往报道显示出T-DXd积极的颅内外抗肿瘤活性,此次SABCS大会报道的事后分析结果显示不同HR状态均有一致的治疗获益。这些研究为晚期HER2+脑转移乳腺癌二线及后线治疗的患者提供坚实的循证医学证据;而2025年报道的一线治疗DB-09研究,纳入患者中也有约6%为脑转移,结果显示T-DXd联合帕妥珠单抗的中位PFS超过THP三倍多(31.8 vs 9.5个月)HR仅为0.30[15],为HER2+脑转移患者提供了更早干预的选择。随着DB-05等早期治疗研究再次取得突破性进展,T-DXd辅助治疗能够显著降低non-pCR患者的复发风险(3年IDF率:92.4%vs 83.7%,HR 0.47,P<0.0001),DB05研究显示了积极的CNS转移预防疗效,脑转移无病间隔相较于T-DM1组有所延长(BMFI:97.6%vs 95.8%,HR 0.64),期待未来随着数据成熟度增加,可以进一步证实其关于早期预防脑转移的探索性分析,T-DXd的早期应用有可能成为预防HER2+脑转移的重要治疗手段。
 
本次SABCS大会有多项真实世界研究进一步验证了T-DXd治疗乳腺癌脑转移的疗效和安全性,尤为值得关注的亮点是,美国的多中心真实世界研究显示,相较于当前欧美国家较为常用的HER2+脑转移乳腺癌标准治疗——小分子TKI图卡替尼,T-DXd展现了更优的TTNT。我们也期待未来能够开展T-DXd对比国内常用小分子TKI吡咯替尼的临床研究,从而为HER2+脑转移乳腺癌患者的药物治疗优化提供参考。
 
对于传统定义的HER2阴性乳腺癌,T-DXd已经通过DB-04、DB-06研究拓展了HR2低表达和超低表达人群的应用,已报道DB-04研究入组了32例基线稳定性脑转移患者(T-DXd组24例,TPC组8例),该亚组分析显示T-DXd治疗HER2低表达脑转移患者的PFS获益(8.1 vs.4.8个月,HR 0.71)[16],而本次SABCS报道的HALLOW研究进一步补充了活动性脑转移的探索结果,同样显示了真实世界中T-DXd具有一致的疗效和安全性。除此以外,SG、Dato-DXd等Trop2 ADC在HER2-脑转移乳腺癌中也显示了积极的活性。2期TUXEDO-3研究的这项亚组分析则为T-DXd与其他新型ADC的排兵布阵提供了一定的参考,对于T-DXd经治的脑转移患者,选择其他靶点和载荷的新型ADC是一种可行的策略。
 
总之,从大型临床试验到真实世界研究,T-DXd正逐渐形成“后线控制→一线优选→辅助预防”的脑转移全程管理证据链,在不同分子亚型、不同脑转移模式的乳腺癌患者中,均展现了积极的全身治疗效果和安全性。期待未来能够进一步探索T-DXd与局部治疗、免疫治疗等的联合应用策略,以提高脑转移的防治效果。在精准治疗时代,基于生物标志物的个体化治疗也将大放异彩,例如本次SABCS大会报道的DEBBRAH研究显示血浆ctDNA和脑脊液ctDNA能够分别预测脑膜转移患者颅外和颅内疾病的进展预后[17]。未来可结合此类液体活检技术,指导脑转移患者的治疗选择,探索更加个体化的精准治疗策略。
 
参考文献
 
[1]Wang T,Chen J,Yang J,et al.CSCO expert consensus on the diagnosis and treatment of breast cancer brain metastasis.Transl Breast Cancer Res.2022;3:22.Published 2022 Jul 30.doi:10.21037/tbcr-22-30
 
[2]Raghavendra AS,Ibrahim NK.Breast Cancer Brain Metastasis:A Comprehensive Review.JCO Oncol Pract.2024;20(10):1348-1359.doi:10.1200/OP.23.00794
 
[3]Epaillard N,Bassil J,Pistilli B.Current indications and future perspectives for antibody-drug conjugates in brain metastases of breast cancer[J].Cancer Treat Rev,2023,119:102597.DOI:10.1016/j.ctrv.2023.102597.
 
[4]Arvanitis CD,Ferraro GB,Jain RK.The blood–brain barrier and blood–tumour barrier in brain tumours and metastases.Nat Rev Cancer 2020;20:26–41.
 
[5]Harbeck N,Ciruelos E,Jerusalem G,et al.Trastuzumab deruxtecan in HER2-positive advanced breast cancer with or without brain metastases:a phase 3b/4 trial.Nat Med.2024;30(12):3717-3727.doi:10.1038/s41591-024-03261-7
 
[6]Hans Wildiers,et al.Outcomes by hormone receptor status in patients with HER2+advanced/metastatic breast cancer with brain metastases treated with T-DXd:a post-hoc subgroup analysis of DESTINY-Breast12.SABCS 2025;PS5-01-27
 
[7]Sandhya Mehta PhD,et al.Real-world Clinical Outcomes of Trastuzumab Deruxtecan Among HER2+Metastatic Breast Cancer Patients with and without Brain Metastases:Data from U.S.Community Oncology Practices.SABCS 2025;PS2-04-27
 
[8]V.Gorantla,et al.Real-World Time to Next Treatment in HER2+Breast Cancer Patients With Brain Metastases:Trastuzumab Deruxtecan vs.Tucatinib-Based Therapy as Second-Line Treatment.SABCS 2025;PS5-01-12
 
[9]Naoki Niikura,et al.Interim Analysis Results for the Effectiveness and Safety of Trastuzumab Deruxtecan in Patients with HER2-Low Breast Cancer and Brain Metastases:The HALLOW Study.SABCS 2025;PD13-11
 
[10]V.Gorantla,et al.Real-World Comparison of Trastuzumab Deruxtecan Treatment Outcomes in HER2-Positive or HER2-Low Metastatic Breast Cancer Patients With and Without Brain Metastases.SABCS 2025;PS5-05-19
 
[11]Xu.Liang,et al.A Real-World Multicenter Study in China:Efficacy and Safety of Sacituzumab Govitecan in Heavily Pretreated HER2-Negative Metastatic Breast Cancer Patients and Brain Metastases.SABCS 2025;PD13-09
 
[12]Paolo Tarantino,et al.Intracranial Activity of Datopotamab Deruxtecan(Dato-DXd)for Patients with HER2-negative Breast Cancer and Leptomeningeal Disease(LMD):Results from Cohort C of the DATO-Base Phase 2 Trial.SABCS 2025;PS1-09-20
 
[13]Rupert Bartsch,et al.Outcome of patritumab deruxtecan(HER3-DXd)in patients with HER2-positive metastatic breast cancer and CNS involvement previously treated with trastuzumab deruxtecan:A subanalysis of TUXEDO-3.SABCS 2025;PD13-10
 
[14]Hurvitz SA,Kim SB,Chung WP,et al.Trastuzumab deruxtecan versus trastuzumab emtansine in HER2-positive metastatic breast cancer patients with brain metastases from the randomized DESTINY-Breast03 trial.ESMO Open.2024;9(5):102924.
 
[15]Sara M.Tolaney,Zefei Jiang,Qingyuan Zhang,et al.Trastuzumab deruxtecan(T-DXd)+pertuzumab(P)vs taxane+trastuzumab+pertuzumab(THP)for first-line(1L)treatment of patients(pts)with human epidermal growth factor receptor 2–positive(HER2+)advanced/metastatic breast cancer(a/mBC):Interim results from DESTINY-Breast09.2025 ASCO LBA1008.
 
[16]Trastuzumab Deruxtecan vs Treatmentof Physician’s Choice in Patients With HER2-Low Unresectable and/or Metastatic Breast Cancer:SubgroupAnalvses From DESTINY-Breast04.2022 SABCS.Abstract P1-11-01.
 
[17]Sandhya Mehta,et al.Real-world Clinical Outcomes of Trastuzumab Deruxtecan Among HER2+Metastatic Breast Cancer Patients with and without Brain Metastases:Data from U.S.Community Oncology Practices.SABCS 2025;PS2-04-27
 
李荣教授
南方医科大学南方医院肿瘤科主任医师,硕士生导师
中国抗癌协会青年理事会理事;中国抗癌协会肿瘤标志委员会常务委员;中国医促会肿瘤姑息治疗大会与人文关怀专业委员会常委;中国临床肿瘤学会(CSCO)青年专家委员会委员;CSCO乳腺癌专家委员会委员;中国研究型医院学会乳腺癌专委会委员;广东省胸部肿瘤防治研究会乳腺癌专业委员会副主任委员;广东省精准医学会头颈肿瘤分会常委;广东省医学会肿瘤学分会委员;广东省抗癌协会化疗专委会委员;广东省药学会乳腺科用药专家委员会常委委员;广东省抗癌协会癌症康复与姑息治疗专委会青年委员。
主持国家自然科学基金、教育部高等学科博士学科点专项科研基金、博士后科学基金、广东省自然科学基金等10项课题。副主编专著3部,参与编写专著3部。
 

 

本内容仅供医学专业人士参考


乳腺癌

分享到: 更多