当前位置:肿瘤瞭望>资讯>研究>正文

晴领·PI研读社丨CULMINATE-1研究全文亮相STTT期刊,张聚良教授、陈占红教授分享国产创新CDK2/4/6i使用体验与临床价值

作者:肿瘤瞭望   日期:2026/1/8 16:16:40  浏览量:603

肿瘤瞭望版权所有,谢绝任何形式转载,侵犯版权者必予法律追究。

激素受体阳性、HER2阴性(HR+/HER2-)乳腺癌是乳腺癌中占比最大的亚型,内分泌治疗仍是治疗此类乳腺癌不可或缺的基石性药物,但内分泌经治患者在复发/转移性阶段的治疗选择仍较为有限,且目前基于CDK4/6抑制剂的联合治疗,也在疗效和安全性方面存在明显局限性,临床亟需全新治疗策略。近日,评估国产创新CDK2/4/6抑制剂(CDK2/4/6i)库莫西利联合氟维司群方案,用于内分泌经治HR+/HER2-晚期乳腺癌的III期临床研究CULMINATE-1结果在Signal Transduction and Targeted Therapy期刊(IF=40.8)正式发表[1],证实库莫西利用于此类患者具有良好疗效,且机制创新有效改善了治疗安全谱。《肿瘤瞭望》特邀空军军医大学西京医院张聚良教授、浙江省肿瘤医院陈占红教授,共同解析正式见刊发表的CULMINATE-1研究结果,探讨库莫西利用于内分泌耐药HR+/HER2-晚期乳腺癌患者的临床价值和未来发展前景。

激素受体阳性、HER2阴性(HR+/HER2-)乳腺癌是乳腺癌中占比最大的亚型,内分泌治疗仍是治疗此类乳腺癌不可或缺的基石性药物,但内分泌经治患者在复发/转移性阶段的治疗选择仍较为有限,且目前基于CDK4/6抑制剂的联合治疗,也在疗效和安全性方面存在明显局限性,临床亟需全新治疗策略。近日,评估国产创新CDK2/4/6抑制剂(CDK2/4/6i)库莫西利联合氟维司群方案,用于内分泌经治HR+/HER2-晚期乳腺癌的III期临床研究CULMINATE-1结果在Signal Transduction and Targeted Therapy期刊(IF=40.8)正式发表[1],证实库莫西利用于此类患者具有良好疗效,且机制创新有效改善了治疗安全谱。《肿瘤瞭望》特邀空军军医大学西京医院张聚良教授、浙江省肿瘤医院陈占红教授,共同解析正式见刊发表的CULMINATE-1研究结果,探讨库莫西利用于内分泌耐药HR+/HER2-晚期乳腺癌患者的临床价值和未来发展前景。
 
热点提要
  • Ⅲ期CULMINATE-1研究结果于STTT杂志全文发表,见证国产创新CDK2/4/6抑制剂的杰出疗效与安全性
  • 创新CDK2/4/6i可解决CDK4/6抑制剂临床广泛应用后凸显的安全性、耐受性欠佳问题,并在疗效方面表现优秀,可为内分泌经治HR+/HER2-晚期乳腺癌患者提供全新选择
  • 基于临床实践中患者特点和迫切治疗需求,应加快探索创新CDK2/4/6i在骨髓抑制风险高、存在内脏转移等部分患者人群中的更多应用可能
 
△CULMINATE-1研究成果于STTT杂志正式见刊发表
 
《肿瘤瞭望》:您如何看待CDK4/6抑制剂对HR+乳腺癌治疗的影响?对接受现有CDK4/6抑制剂+内分泌治疗的患者,尚有哪些治疗需求未被满足?

张聚良教授:HR+乳腺癌占全部乳腺癌的比例超过70%,且仍有相当一部分患者在晚期确诊,或在根治性治疗后出现复发或远处转移,而传统内分泌治疗对复发/转移性患者的疗效并不理想。CDK4/6抑制剂自问世以来,有效改善了HR+晚期乳腺癌的总体治疗效果,已可使部分晚期患者实现长生存,且应用范围正逐步扩大到早期可手术患者,但其治疗局限性也不可忽视。例如,各类CDK4/6抑制剂联合氟维司群用于内分泌经治患者时,客观缓解率(ORR)最高仍不超过35%,且骨髓抑制问题较为突出,临床研究中报告的≥3级中性粒细胞减少发生率最高接近85%[2],显著影响治疗耐受性,乃至对患者生命安全构成直接威胁。
 
因此,HR+晚期乳腺癌患者仍需更多机制有创新、获益幅度大的全新治疗选择,以破解现有治疗耐药或延缓治疗耐药出现、改善治疗骨髓抑制风险等安全性问题,而国产原研CDK2/4/6抑制剂即有望满足迫切临床需求,成为全新治疗选择。
 
《肿瘤瞭望》:针对内分泌治疗耐药HR+晚期乳腺癌,国产CDK2/4/6i库莫西利相应开展的III期CULMINATE-1研究已取得成功,研究成果近日在STTT期刊全文发表,证实库莫西利可显著降低患者疾病进展或死亡风险,您能否对相关数据进行深入解读?

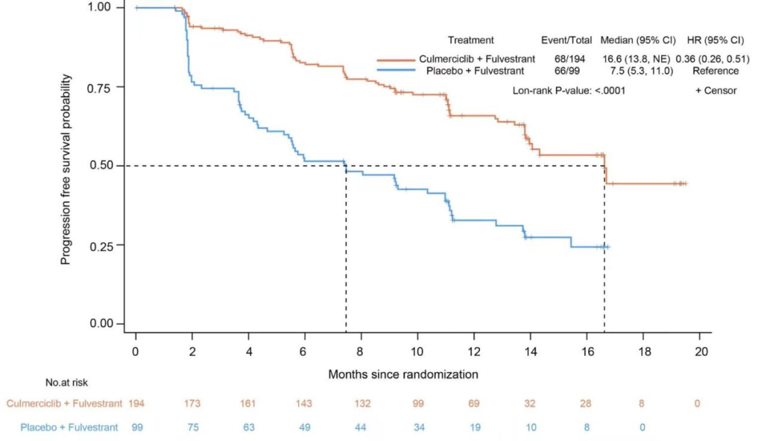
陈占红教授:CULMINATE-1研究是一项随机、双盲、平行对照、多中心Ⅲ期临床研究,旨在评估库莫西利联合氟维司群对比安慰剂联合氟维司群,在内分泌治疗后进展、且接受不超过1线化疗的HR+/HER2-晚期乳腺癌患者中的有效性和安全性,研究期中分析结果于2024中国临床肿瘤学会(CSCO)学术年会首次报告,主要终点PFS(由研究者评估)达到阳性结果:库莫西利联合氟维司群的中位PFS为16.62个月,较对照组延长9.16个月,患者疾病进展或死亡风险降低64%(HR=0.36,P<0.0001),且库莫西利组已有OS获益趋势(HR=0.67)。
 
△CULMINATE-1研究期中分析由研究者评估的PFS数据
 
在研究次要疗效终点方面,由研究者评估的ORR显示,库莫西利组意向治疗人群(ITT)中的确认ORR达40.21%,是目前治疗内分泌经治患者时,唯一报告ORR超过40%的临床研究,较对照组的12.12%显著提高(P<0.0001);限定基线病灶可测量患者时,库莫西利组的确认ORR则进一步高达46.43%,同样显著优于对照组(14.12%,P<0.0001),疾病控制率(DCR,CR+PR+SD)接近90%,提示库莫西利具有良好的缩瘤疗效。
 
安全性方面,CULMINATE-1研究中报告的治疗相关不良事件(TRAEs)多为1-2级,主要≥3级治疗期间不良事件(TEAE)为中性粒细胞降低,发生率仅为24.74%,其它≥3级TRAEs包括贫血(10.82%)、腹泻(7.22%)等,且未见因不良事件导致的治疗终止或死亡,反映出库莫西利治疗总体安全可耐受,不良事件整体可控,且骨髓抑制风险较低。
 
△CULMINATE-1研究TRAEs数据
 
《肿瘤瞭望》:以您参与CULMINATE-1研究的亲身体验来看,库莫西利的疗效和安全性与现有CDK4/6抑制剂有哪些相似和不同之处?

张聚良教授:自CDK4/6抑制剂应用到HR+阳性晚期乳腺癌及早期可手术患者后,临床有两大关键问题值得关注,首先是治疗耐药性问题,CDK4/6抑制剂一线应用或用于早期患者后,必然有一部分患者发生治疗耐药或进展至晚期,对此类CDK4/6抑制剂经治患者的治疗选择仍然没有统一确切的答案;其次,CDK4/6抑制剂用于早期辅助治疗、晚期一线治疗时,用药时间延长使CDK4/6抑制剂的耐受性问题更加突出,许多患者难以耐受血液学毒性或腹泻等胃肠道毒性,影响治疗的顺利完成。
 
而现有临床研究数据显示,CDK2/4/6i库莫西利作为国产创新药物,可能通过抑制CDK2部分逆转CDK4/6抑制剂的获得性耐药以改善疗效,并通过高选择性抑制CDK4、相对较弱抑制CDK6减轻血液学毒性,表现为治疗的≥3级中性粒细胞减少发生率较低,有利于患者长期接受治疗,并有望用于CDK4/6抑制剂耐药患者。
 
《肿瘤瞭望》:结合CULMINATE-1研究的疗效和安全性表现,您认为在库莫西利获批上市后,应如何优化其使用策略?

陈占红教授:CULMINATE-1研究率先证实,库莫西利同时高选择性抑制CDK4/6和CDK2的作用机制创新,可转化为明确临床获益,联合氟维司群使用时具有良好疗效和安全性,为内分泌治疗耐药HR+晚期乳腺癌提供全新治疗选择,也为库莫西利申报适应证提供了坚实依据,随着库莫西利于近期成功获批上市,CDK2/4/6i即将正式惠及我国患者。相较内分泌治疗耐药HR+晚期乳腺癌的其它现有治疗选择,使用库莫西利无需检测PAM通路(PI3K/AKT/mTOR)突变,且作为国产创新药,库莫西利也有望具有更好的可及性,从而覆盖广大患者群体;近期在ESMO年会上由宋尔卫院士公布的CULMINATE-2研究结果,还将进一步支持库莫西利用于HR+/HER2-晚期乳腺癌一线治疗。
 
张聚良教授:结合库莫西利治疗ORR较高、骨髓抑制风险较低的特点,未来可优先使用库莫西利治疗疾病负荷较高、存在内脏转移、骨髓抑制风险高或有特定合并症(如肺部基础疾病)的患者;库莫西利后续获批上市后,临床工作者也应积极积累用药经验和数据,并开展真实世界研究,以探索用药优势人群或指导精准用药的生物标志物。
 
▌参考文献:
 
[1]Yin Y,Zhang Q,Sun T,et al.Novel CDK2/4/6 inhibitor culmerciclib(TQB3616)plus fulvestrant in previously treated,HR-positive,HER2-negative advanced breast cancer:a randomized,double-blind,phase 3 trial.Signal Transduct Target Ther.2025;10:414.Published 2025 Dec 18.doi:10.1038/s41392-025-02475-6
 
[2]Xu B,Zhang Q,Zhang P,et al.Dalpiciclib or placebo plus fulvestrant in hormone receptor-positive and HER2-negative advanced breast cancer:a randomized,phase 3 trial.Nat Med.2021;27(11):1904-1909.doi:10.1038/s41591-021-01562-9
 
专家简历
 
张聚良教授
空军军医大学西京医院甲乳血管外科
副主任医师、副教授、博士、硕士研究生导师
中华医学会肿瘤学分会乳腺学组委员
中国抗癌协会中西整合乳腺癌专委会委员
陕西省医师协会乳腺甲状腺分会副会长
陕西省抗癌协会癌症筛查与早诊早治专委会副主任委员
陕西省抗癌协会乳腺癌专业委员会常委
陕西省抗癌协会药物治疗专业委员会常委
 
陈占红教授
主任医师、硕士生导师
浙江省肿瘤医院乳腺内科副主任兼病区主任
国家抗肿瘤药物临床应用检测专家委员会乳腺癌组专家
中国抗癌协会整合肿瘤心脏病学分会常务委员
中国女医师协会乳腺专业委员会常务委员
中国健康促进基金会乳腺疾病专家委员会常务委员
中国临床肿瘤学会乳腺癌专家委员会委员/CSCO-BC指南编委
中国医师协会肿瘤医师分会第二届委员会乳腺癌学组委员
浙江省抗癌协会肿瘤心脏病学专业委员会主任委员
浙江省数理医学学会乳腺肿瘤诊疗专业委员会主任委员
浙江省数理医学学会乳腺临床试验专业委员会候任主任委员
浙江省免疫学会肿瘤免疫与生物治疗专业委员会副主任委员
浙江省预防医学会第一届生殖疾病预防与控制专业委员会副主任委员
浙江省抗癌协会乳腺癌专业委员会常务委员
 
往期推荐

本内容仅供医学专业人士参考


乳腺癌

分享到: 更多