当前位置:肿瘤瞭望>资讯>正文

COMPASS研究:术前危险分层临床决策框架再次激发PTMC临床决策的思考

作者:肿瘤瞭望   日期:2019/11/15 16:37:21  浏览量:16752

肿瘤瞭望版权所有,谢绝任何形式转载,侵犯版权者必予法律追究。

甲状腺微小乳头状癌(PTMC)在世界范围内发病率逐年上升,且在甲状腺癌病例中占比不断攀升,成为临床焦点和研究热点。

编者按:甲状腺微小乳头状癌(PTMC)在世界范围内发病率逐年上升,且在甲状腺癌病例中占比不断攀升,成为临床焦点和研究热点。2015年ATA甲状腺癌指南推荐“PTMC可暂不手术,但须积极监测”,却未针对此给出具体的筛查方案和随访流程。这一推荐可谓石破天惊、颠覆传统,一时间学术纷争四起。2016年初,美国斯隆凯特琳癌症中心(MSKCC) Brito教授提出了PTMC术前危险分层临床决策框架,以用于筛选理想的PTMC患者进行积极监测。鉴于中国PTMC患者的临床特征及医疗环境等情况可能不同于美国,COMPASS研究应运而生。2019年10月30日~11月3日,美国芝加哥召开的美国甲状腺协会(ATA)年会上,由上海交通大学医学院附属仁济医院王卓颖教授、中国医科大学附属第一医院关海霞教授、甘肃省肿瘤医院王军教授等共同开展的COMPASS研究结果得以公布,并启示PTMC的临床决策。
 
王卓颖教授
 
PTMC是指肿瘤最大直径≤1.0 cm的甲状腺癌(PTC),在过去,其治疗一直秉承PTC的治疗原则,即以手术治疗为主并辅以131I治疗和TSH抑制治疗。2014年,日本两项低危PTMC前瞻性观察研究(Ito研究和Sugitani研究)结果提示经严格筛查的低危PTMC患者进行积极监测5~6年后绝大多数患者病程进展缓慢或无进展。基于这些结果,2015年 ATA甲状腺癌指南中提到,没有临床上明确的转移或局部侵犯的和/或没有侵袭性疾病的确切细胞学或分子学(如果检查的话)证据的低危PTMC患者可选择积极监测管理而非立即手术治疗。“积极观察“理念颠覆了“三早“理念,在质疑中,不少学者开始探索PTMC术前危险分层临床决策框架,以防”过度治疗“。上海交通大学医学院附属仁济医院王卓颖教授、中国医科大学附属第一医院关海霞教授、甘肃省肿瘤医院王军教授等依据我国PTMC患者的临床特征和医疗现状,开展了COMPASS研究以探讨适用于中国人群的PTMC术前危险分层临床决策框架。
 
COMPASS研究:PTMC术前危险分层临床决策框架的确定与验证
 
COMPASS研究是一项多中心、回顾性研究,2014年1月至2016年12月共纳入1997例PTMC患者(术前颈部超声提示为可疑PTMC(有或无细针穿刺检查)且术后病理结果确诊为PTMC),收集人口统计学资料、病史、术前生化、影像等检查资料、手术操作及术后记录及术后病理结果等资料。研究主要目的是评估根据PTMC术前危险分层临床决策框架(见表1)病情风险的判断和临床实践中PTMC患者根据手术后真实病情的判断的一致性,次要目的是评估术前TSH水平对预后不良指标判断的预测价值。
 
表1. PTMC术前危险分层临床决策框架
 
PTMC术前危险分层临床决策框架评估结果显示558例(27.9%)患者可采取积极观察,术后病理结果显示810例(40.6%)患者可采取积极观察,表明一定比例的PTMC患者可采取积极观察,而非手术治疗。PTMC术前危险分层临床决策框架敏感性82.39%,假阳性率56.91%,特异性43.09%,假阴性率17.61%,与术后病理结果的一致性66.45%,见图1[1]。进一步分层分析,结果显示18~59岁患者中,敏感度为87.7%,且甲状腺球蛋白水平高和恶性病变不伴良性结节支持手术治疗;60岁以上患者中,特异性达87.5%,但敏感性较低,术前TSH低水平支持积极观察,见图2[1]
 
图1.PTMC术前危险分层临床决策框架与术后病理结果的比较
 
图2.不同年龄层PTMC术前危险分层临床决策框架的结果[1]
 
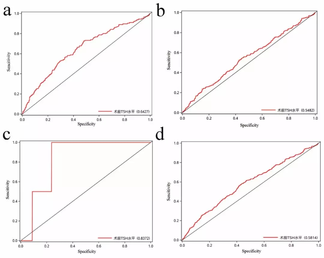
术前血清TSH对甲状腺浸润和淋巴结转移的临界值分别为2.25和2.21,AUROC分别为0.642和0.548,相应的敏感度分别为0.66和0.54,特异度分别为0.57和0.55;对远处转移的临界值分别为3.28和0.837,相应的敏感性为1.00,特异性为0.76,见图3[2]。总体来说,术前血清TSH对甲状腺外侵袭、淋巴结转移和远处转移的临界值为2.22,AUROC为0.581[2]
 
图3. 术前TSH水平对甲状腺浸润、淋巴结转移和远处转移的诊断价值[2]
 
注:(a)甲状腺浸润术前TSH水平roc曲线。(b)淋巴结转移术前TSH水平roc曲线。(c)远处转移患者术前TSH水平roc曲线。(d)侵袭/转移术前TSH水平roc曲线。

COMPASS研究结果引发PTMC治疗的临床决策再思考
 
COMPASS研究结果表明,术后病理结果显示可采取积极观察的例数(810例,40.6%)大于根据PTMC术前危险分层临床决策框架评估的可采取积极观察的例数(558例,27.9%),这提示我们:临床实践中,一定比例的PTMC患者适合积极观察,因此,还需对PTMC进行术前系统的判断,并精准判断适合随访的低危PTMC患者。不过,本研究中结果显示术前甄选低危PTMC仍有难度,假阴性和假阳性率高,因而,PTMC术前危险分层临床决策框架还有待进一步完善,如增加患者的疾病特征、医疗团队等因素,术前TSH水平不能作为PTMC疾病进展的预测因素。在PTMC治疗存在争议的大背景下,COMPASS研究再一次印证了微小癌≠低危癌,高危PTMC仍需手术治疗,低危PTMC采取积极观察前需综合评估。
 
微小癌≠低危癌,高危PTMC约占2/3。COMPASS研究中术后病理结果提示59.4%患者需要手术治疗,27.9%CN0患者术后发现淋巴结转移,再次印证了PTMC不等同于低危癌。不论从淋巴结转移发生率、腺外侵犯发生率、多灶性发生率、术后复发率,还是死亡率,系列研究结果均表明 PTMC不等同于低危癌,且数据表明高危PTMC约占60%。
 
高危PTMC仍需手术治疗。高危PTMC仍需要按PTC的处理原则即包括初始治疗和长期随访。初始治疗三部曲包括手术、术后131I治疗和术后促甲状腺激素(TSH)抑制治疗。TSH抑制治疗是治疗三步曲中不可或缺的环节。TSH抑制治疗可带来降低癌症复发风险、提高生存率的获益。
 
低危PTMC积极监测前需综合评估。明确为低危PTMC也需谨慎采取积极观察取代手术治疗,需全方位严格评估患者情况。如果经筛选后确定为适合积极观察的患者,则必须评估其他因素:①患者的依从性(如是否能终生按时随访)、家庭支持、情绪和精神状态、经济支持和生活水平、对未来不确定性的焦虑和耐受力等。②医疗团队,多学科共同参与且需满足长期随访条件,如美国MSKCC建立的TCCC网站提供了多学科参与(内分泌、肿瘤科、核医学、放射科、社区医生、外科)及与患者的互通平台。③伦理和法律风险,在多数情况下医生需要给患者一个推荐而非选择列单,并进行充分详尽的教育。“低危PTMC可选择观察”并不是当前的标准治疗,选择积极观察建议获得患者的知情同意。
 
COMPASS研究对PTMC的治疗具有一定的启示作用,但其所用的PTMC术前危险分层临床决策框架还有待进一步的完善。其研究结果再一次警示临床医生低危PTMC积极观察取代手术治疗仍处于临床研究阶段,在临床实践中,应充分考量、谨慎选择。
 
参考文献:
1. Kai Qian, Mengmeng Zhang, Ning An, et al.Choosing Optimal Microcarcinoma Patients for Active Surveillance Study (COMPASS) - effectiveness evaluation of a pre-operative clinical framework.2019.ADA.
2. Jun Wang, Aihong Mao, Ning An, et al. redictive value of Preoperative Serum TSH Level in metastasis of Papillary Thyroid Microcarcinoma. 2019.ADA.

本内容仅供医学专业人士参考


研究

分享到: 更多