当前位置:肿瘤瞭望>资讯>正文

乳腺癌从早期到晚期,肿瘤HER2低表达水平的变化

作者:肿瘤瞭望   日期:2022/10/26 11:23:27  浏览量:7489

肿瘤瞭望版权所有,谢绝任何形式转载,侵犯版权者必予法律追究。

研究表明HER2低表达在乳腺癌病程中存在高度不稳定性,早期的HER2 0可能变为晚期的HER2低表达。

导语:研究表明HER2低表达在乳腺癌病程中存在高度不稳定性,早期的HER2 0可能变为晚期的HER2低表达。
 
基于ADC药物等新型抗HER2靶向药物呈现出的治疗潜力,目前HER2低表达乳腺癌在临床和病理上的关注度越来越高,研究者对于HER2低表达乳腺癌的临床病理特征、分子生物学特征等方面都进行了积极探索。Tarantino P等人发表在《European Journal of Cancer》期刊上的研究报道“Evolution of low HER2 expression between early and advanced-stage breast cancer”,对HER2低表达在乳腺癌病程中的动态演变特征进行了分析,并揭示了HER2低表达的预后意义,为全面表征HER2低表达乳腺癌这一新型分类提供新的证据。现将相关研究内容整理如下,以供读者交流学习。
 
研究背景
 
HER2受体的发现促进了乳腺癌治疗的巨大进步,多种抗HER2治疗药物大大提高了HER2阳性乳腺癌(约占所有乳腺癌的15%-20%)的预后。由于不存在ERBB2扩增或HER2过表达,大多数乳腺癌患者不适合接受抗HER2治疗,按照目前的分类将这些乳腺癌定义为HER2阴性。但通过免疫组织化学(IHC)检测,大多数肿瘤细胞膜仍有一定程度的HER2表达。对于这些HER2低表达乳腺癌,既往多项研究共同表明传统抗HER2靶向药物并无临床获益。然而,新型抗HER2 ADC药物在入组HER2低表达乳腺癌患者(定义为HER2 IHC评分为1+或2+且原位杂交(ISH)试验结果为阴性的肿瘤)的早期试验中显示出较好的临床活性,为既往经治的HER2低表达转移性乳腺癌患者带来28%-40%的客观缓解率(ORR)。
 
基于抗HER2靶向药物在HER2低表达乳腺癌中的治疗潜力,对于HER2低表达这类新分型乳腺癌的表征逐渐受到重视,但乳腺癌从早期发展为晚期的过程中低水平的HER2表达会如何变化目前知之甚少。临床前研究显示多种因素可诱导肿瘤细胞HER2蛋白表达的上调,包括化疗、内分泌治疗和放疗,这表明疾病早期阶段这些治疗可能会增加HER2蛋白的表达。该研究旨在表征HER2低表达在配对的早期和晚期乳腺癌中的动态演变,并评估原发肿瘤中HER2低表达的预后意义。
 
研究方法
 
研究从机构临床数据库中回顾性收集了2014年1月至2020年12月期间,在意大利米兰欧洲肿瘤研究所新药和早期药物开发部门就诊的所有乳腺癌患者的临床和病理学数据。收集的数据包括患者的人口统计学特征、诊断时的疾病分期、原发肿瘤的肿瘤生物学特征和在复发/局部晚期或转移阶段进行的第一次(和第二次,如可用)肿瘤活检的病理学数据。当原发性肿瘤的术前肿瘤活检和手术标本的病理学检查均可用时,考虑使用手术样本进行分析。研究收集了(新)辅助和晚期阶段患者接受治疗的数据,以及无病生存期(DFS)、晚期阶段首次治疗的无进展生存期(PFS1)和总生存期(OS)方面的疾病结局。
 
如果患者被诊断为组织学证实的浸润性乳腺癌,在以治愈为目的的初始手术治疗后经历局部或转移性复发,如果关于HER2 IHC评分的数据,以及在适当的情况下,原发肿瘤和复发后进行的至少一次活检均可获得HER2扩增状态。根据最新的ASCO/CAP指南定义,排除基线时(术前活检或手术标本)患有HER2阳性疾病的患者。诊断时有转移性疾病的患者(新发转移)从HER2表达动态分析中排除,仅纳入生存期分析中。
 
研究结果
 
一、HER2低表达乳腺癌更常见于年轻患者,且更常见于雌激素受体阳性人群
 
进行筛选的554例乳腺癌患者中,82例患者在诊断时为转移性,15例患者仍无病生存,457例患者出现局部或转移性疾病复发。在出现疾病复发的457例患者中,282例患者的原发性肿瘤和晚期匹配活检均有HER2 IHC评分(和ISH状态,如适用)。在删除50例原发性肿瘤为HER2阳性的病例后,最终确定232例患者符合纳入HER2低表达动态分析。纳入分析的患者人口统计学和肿瘤特征见表1。与HER2 0乳腺癌相比,HER2低表达乳腺癌更常见于年轻患者(中位年龄46岁vs 49岁,p=0.044),且更常见表达雌激素受体(85%vs 71%,p=0.005)。其他人口统计学和肿瘤特征未观察到显著差异(见表2)。
 
表1.纳入HER2表达动态变化分析的患者特征
 
表2.纳入患者的试验登记和病理信息
 
二、配对的早期和晚期乳腺癌之间HER2低表达水平显著不同,晚期的HER2表达增加
 
根据ASCO/CAP指南定义为HER2阴性的病例中,53%的原发性肿瘤(n=122/232)为HER2低表达。复发时收集的配对活检标本显示HER2表达与原发性肿瘤显著不一致(图1),44%的患者观察到原发性肿瘤和匹配活检之间HER2 IHC评分增加,而在22%的患者中观察到相反的趋势(从HER2低表达到HER2 0)(K=0.33,95%CI 0.21-0.44)(图1)。晚期复发标本中HER2低表达(n=135)或HER2阳性肿瘤(n=14)的发生率为64%(n=149/232)。值得注意的是,在晚期患者首次活检后接受至少一次额外活检的患者中,仅50%的患者HER2表达水平与首次活检一致(表1)。
 
在ER阳性肿瘤患者队列中也观察到显著不一致,在54%(n=42/78)的HER2 0病例中观察到HER2 IHC评分增加,仅在15%(n=16/104)的HER2低表达病例中观察到晚期阶段的IHC评分低于早期阶段(K=0.32,95%CI 0.19-0.45)。总体而言,57%的原发性ER阳性肿瘤(n=104/182)为HER2低表达,相比之下,71%相应配对的晚期肿瘤活检为HER2低表达或HER2阳性(n=130/182),包括116例HER2低表达肿瘤和14例HER2阳性肿瘤。最后,在TNBC人群中同样观察到显著不一致:在31%的IHC为0的病例(n=10/32)中观察到原发性肿瘤和配对的晚期活检之间HER2表达增加,而在50%HER2低表达的病例(n=9/18)中观察到转变为HER2 IHC 0(K=0.18,95%CI 0.09-0.46)。总体而言,36%(n=18/50)的原发性TNBC肿瘤为HER2低表达,而相应配对的晚期活检HER2低表达为38%。
 
图1.早期和晚期乳腺癌之间HER2低表达的演变[该图形象地显示了匹配的早期乳腺癌和晚期活检的HER2状态演变。在所有病例(总体人群、ER阳性肿瘤和TNBC)中,观察到早期样本和晚期样本之间存在显著不一致,后者HER2表达病例增加]
 
三、晚期活检部位未影响HER2表达水平
 
为了确定标本采集部位是否可能影响HER2表达水平,研究者根据晚期疾病首次活检部位进行了亚组分析。大多数患者的接受首次配对活检的部位是淋巴结(25%,n=57)、皮肤和软组织(23%,n=53)或肝脏(22%,n=52);15%(n=35)接受的骨活检,11%(n=25)接受的肺或胸膜活检,4%(n=10)接受了其他部位活检。在任何特定活检部位均未观察到HER2低表达的显著差异(p=0.88)。然后,研究者将活检部位分为内脏(肝、肺和胸膜)和非内脏部位(皮肤和软组织、淋巴结、骨、其他),35%的活检在内脏部位进行,65%在非内脏部位进行活检。两者在HER2低表达方面未观察到显著差异:67%内脏活检的结果为HER2低表达,而非内脏活检为63%(p=0.56)。
 
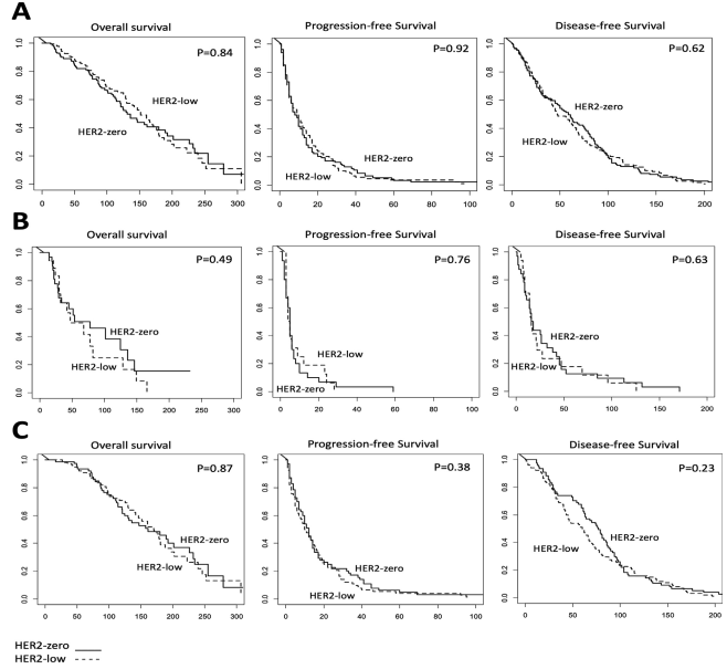
四、HER2低表达与HER2 0乳腺癌预后无显著差异
 
根据原发肿瘤测定的HER2表达,比较HER2低表达和HER2 0乳腺癌在OS、PFS1和DFS方面的疾病预后(图2)。在总体研究队列中未观察到任何预后变量的显著差异(图2A)。HER2低表达乳腺癌的中位OS为151个月(95%CI 129-176),HER2 0乳腺癌的中位OS为131个月(95%CI 114-180,p=0.84)。HER2低表达乳腺癌的中位PFS1为9个月(95%CI 6-12),HER2 0乳腺癌为8个月(95%CI 6-11,p=0.92);HER2低表达乳腺癌的中位DFS为46个月(95%CI 40-63),HER2 0乳腺癌为59个月(95%CI 40-63,p=0.62)。多变量Cox比例风险模型的结果显示,HER2状态不是OS、PFS1和DFS的独立预后因素(表3)。同样,TNBC(图2B)或ER阳性乳腺癌亚组分析显示(图2C),HER2低表达和HER2 0乳腺癌在OS、PFS1或DFS方面未观察到显著差异。
 
 
图2.根据HER2低表达状态的疾病预后(比较了HER2低表达和HER2 0患者人群的疾病结局,并对总体人群(A)、TNBC(B)和ER阳性肿瘤(C)进行了单独分析。与HER2 0肿瘤相比,HER2低表达肿瘤的总生存期、一线治疗的无进展生存期和无病生存期无统计学显著差异)
 
表3.多变量Cox比例风险模型的结果
 
最后,基于近期的回顾性数据表明,HER2低表达对内分泌治疗联合细胞周期蛋白依赖性激酶(CDK4/6)抑制剂的活性具有潜在影响,研究者在接受一线内分泌治疗联合CDK4/6抑制剂的患者中基于HER2表达对PFS1进行了亚组分析(n=33)。在该亚组分析中HER2低表达和HER2 0乳腺癌之间未观察到PFS1的显著差异(图3)。
 
图3.一线内分泌治疗联合CDK4/6抑制剂的无进展生存期[在接受内分泌治疗联合CDK4/6抑制剂作为晚期疾病一线治疗的HER2低表达和HER2 0患者人群中,比较一线治疗后的无进展生存期(PFS1)(n=33)。在两类人群中未观察到PFS1差异(p=0.25)。HER2低表达肿瘤的中位PFS1为14个月(95%CI 5-24),HER2 0肿瘤未达到中位PFS1]
 
总结与思考
 
该研究表明乳腺癌原发肿瘤和配对的晚期肿瘤之间HER2低表达存在显著不一致性,并且在晚期疾病阶段会出现HER2低表达的富集(原发性乳腺癌HER2 0向晚期阶段的HER2低表达转变,而HER2低表达向HER2 0的转变相对更少),并且在50%的病例中观察到晚期疾病阶段第二次活检与第一次活检的不一致性,这些都提示在乳腺癌病程中HER2低表达的高度不稳定性。而活检部位不影响HER2的表达水平。这种不稳定性可能与早期乳腺癌接受化疗、内分泌治疗等可能增加HER2表达相关,也可能与当前HER2检测主要关注HER2高表达而对HER2低表达的具有较高的不一致性相关。
 
此外,在评估HER2低表达的预后意义方面,总体人群和疾病亚型(TNBC、ER阳性)分析中均未观察到基于HER2低表达的OS、PFS1或DFS差异,这与既往一些回顾性队列研究结果相一致,但是需要强调的是,也有其他研究观察到HER2低表达与HER2 0的预后存在显著差异,提示目前而言,HER2低表达对乳腺癌预后的影响仍是一个尚未明确的问题。此外,该研究还表明,HER2低表达似乎不影响一线内分泌治疗联合CDK4/6抑制剂的治疗结局,尽管有回顾性证据表明HER2低表达乳腺癌患者的疗效更差。最后,该研究也带给临床重要的启示:鉴于HER2低表达在疾病进展过程中的高度不稳定性,HER2 0乳腺癌进展后,有必要对晚期阶段肿瘤组织进行活检。
 
▌参考文献
 
Tarantino P,Gandini S,NicolòE,et al.Evolution of low HER2 expression between early and advanced-stage breast cancer.Eur J Cancer.2022 Mar;163:35-43.
 
*本文由阿斯利康提供支持,仅供医疗专业人士参考
审批编号:CN-98040
有效期至:2023-6-16

本内容仅供医学专业人士参考


乳腺癌

分享到: 更多