当前位置:肿瘤瞭望>资讯>研究>正文

研究速递丨新发转移性HER2阳性乳腺癌的总体生存情况和预后因素:美国国家癌症数据库分析

作者:肿瘤瞭望   日期:2025/12/16 14:30:49  浏览量:2647

肿瘤瞭望版权所有,谢绝任何形式转载,侵犯版权者必予法律追究。

在HER2阳性乳腺癌患者中,约15%~24%的局部性疾病患者在接受根治性治疗后会发展为转移性疾病,而3%~10%的患者则会出现新发转移[1]。随着抗HER2治疗的发展,转移性HER2阳性乳腺癌的平均五年生存率显著提高,但不同患者的生存率差异很大[2]。为了解这些差异,近期的一项研究分析了美国国家癌症数据库中新诊断为转移性HER2阳性乳腺癌的女性患者数据[2]。研究发现,影响生存的关键因素包括年龄、合并症评分、组织学、HER2免疫组化评分、激素受体状态、转移灶的数量和位置,以及接受的治疗类型,例如一线化疗或抗HER2治疗等。这项研究结果有助于根据个体因素预测生存率并指导患者的治疗策略。

编者按:在HER2阳性乳腺癌患者中,约15%~24%的局部性疾病患者在接受根治性治疗后会发展为转移性疾病,而3%~10%的患者则会出现新发转移[1]。随着抗HER2治疗的发展,转移性HER2阳性乳腺癌的平均五年生存率显著提高,但不同患者的生存率差异很大[2]。为了解这些差异,近期的一项研究分析了美国国家癌症数据库中新诊断为转移性HER2阳性乳腺癌的女性患者数据[2]。研究发现,影响生存的关键因素包括年龄、合并症评分、组织学、HER2免疫组化评分、激素受体状态、转移灶的数量和位置,以及接受的治疗类型,例如一线化疗或抗HER2治疗等。这项研究结果有助于根据个体因素预测生存率并指导患者的治疗策略。
 
研究背景
 
乳腺癌是全球女性中最常见的癌症,其中约15%~20%的乳腺癌过表达人类表皮生长因子受体2(HER2),被称为HER2阳性乳腺癌[3]。HER2是一种与酪氨酸激酶相关的表皮生长因子受体(EGFR),HER2的表达可通过免疫组织化学(IHC)或荧光原位杂交(FISH)基因表达分析来评估。HER2阳性结果包括IHC 3+,或IHC 2+且FISH阳性[4]
 
然而,约15%~24%的局部HER2阳性乳腺癌患者在完成局部根治性治疗后会发展为转移性乳腺癌,3%~10%的患者会出现新发转移[1]。转移性乳腺癌的全身治疗旨在延长生存期、缓解症状并维持生活质量;中位生存期因肿瘤亚型、转移部位和癌症总体负担而异。抗HER2治疗的进展,包括曲妥珠单抗以及恩美曲妥珠单抗(T-DM1)、德曲妥珠单抗(T-DXd)、图卡替尼、马吉妥昔单抗、奈拉替尼等药物,显著改善了HER2阳性乳腺癌患者预后[5]
 
但由于治疗耐药性的产生,部分患者仍面临肿瘤进展。HER2阳性转移性乳腺癌仍然是一种生物学和临床上具有多样性的疾病[6]。生存期在患者层面存在异质性,一些患者仅存活1~2年,而另一些患者则可存活10余年。既往不考虑个体因素的临床试验的生存期估计,通常无法提供切合实际的预后[1]。尽管新发转移性HER2阳性乳腺癌亚型的预后通常优于复发性转移性乳腺癌,但目前缺乏专门针对这类乳腺癌患者生存结局的大规模现实世界研究。
 
研究方法
 
研究纳入2010年至2020年美国国家癌症数据库(NCDB)中确诊为转移性HER2阳性乳腺癌的女性。收集患者的人口统计学、临床病理学、治疗数据和OS,包括年龄、种族和Charlson-Deyo合并症评分(分为0分、1分、2分或≥3分)、组织学(浸润性导管癌、浸润性小叶癌、良性组织学、炎性癌、化生性癌和其他癌)、HER2 IHC表达情况、雌激素受体(ER)状态、孕激素受体(PR)状态、转移部位数量和转移部位,以及一线化疗、抗HER2治疗、激素阻断治疗、乳腺手术、非原发部位手术、放疗和姑息治疗等。通过Kaplan-Meier曲线估计OS。对数秩检验在单变量分析中识别了组间OS差异。Cox比例风险模型结合后向消除法在多变量分析中识别了影响OS的因素。报告了12个月、36个月和60个月的生存率估计值、95%置信区间(CI)和校正风险比。
 
研究结果

基线特征
 
2010年至2020年间,共有5376名女性被诊断为新发转移性HER2阳性乳腺癌,中位OS为55.95个月(95%CI 53.55-NE)。大多数女性年龄在41至70岁之间(67.2%),白人(74%),Charlson-Deyo合并症评分为零(82.4%)。大多数患者患有浸润性导管癌(84.9%),HER2 IHC为3+(84.9%),ER阳性(61.6%),PR阴性(56%),转移灶单一(48.6%),且仅有颅外转移(90.8%)。大多数女性接受了单药一线化疗(46.5%)、抗HER2治疗(78.8%)、未接受激素阻断治疗(62.3%)、未接受乳房手术(80.1%)、未接受非原发部位手术(94.6%)、未接受放疗(68.4%),并且未接受姑息治疗以缓解症状(74.6%)。
 
▽人口统计学、临床病理学和治疗特征
 
人口统计学分析
 
71岁以上年龄组的OS率最低(HR 4.76),41~70岁年龄组的OS率也低于19~40岁年龄组(HR 2.18)。黑人的OS率低于白人(HR 1.19),其他种族的OS率高于白人(HR 0.79)。相比之下,种族不明者的OS率与白人相似(HR 0.89)。与Charlson-Deyo合并症评分为0的患者相比,评分为1个(HR 1.23)、2个(HR 2.36)和3个或以上(HR 3.72)的患者OS率较低,表明随着合并症负担的增加,生存率呈明显下降趋势。
 
癌症相关临床病理分析
 
化生癌(HR 2.39)和其他癌症(HR 1.99)的总生存率显著低于浸润性导管癌。然而,与浸润性导管癌相比,浸润性小叶癌(HR 1.11)、良性组织学(HR 0.87)和炎性癌(HR 1.17)的OS率相似。关于HER2 IHC表达,2+和FISH+(HR 1.22)女性的OS率低于3+女性。ER阳性(HR 0.73)和PR阳性(HR 0.72)的OS率高于ER阴性和PR阴性。
 
就转移部位数量而言,与仅有1个转移部位的女性相比,2个(HR 1.44)、3个(HR 2.14)、4个(HR 2.52)和5个或5个以上(HR 4.02)转移部位的女性OS率较低;表明随着转移部位数量的增加,生存率呈明显下降趋势。在对仅有一个转移部位的女性进行的亚组分析中,仅淋巴结转移(HR 0.30)、仅骨转移(HR 0.37)、仅肝脏转移(HR 0.42)和仅肺转移(HR 0.45)女性的OS率高于仅脑转移的女性,而仅其他转移(HR 0.84)和仅脑转移的OS率相似。仅颅外转移(HR 0.53)的OS率高于仅颅内转移的女性,而颅内+颅外转移(HR 1.11)与仅颅内转移的OS率相似。
 
治疗分析
 
与未接受化疗的患者相比,接受单药一线化疗(HR 0.25)或多药一线化疗(HR 0.18)患者OS率更高。在亚组分析中,所有Charlson–Deyo合并症评分组中,一线化疗患者的OS改善均保持一致。
 
▽不同Charlson-Deyo合并症评分亚组患者接受一线化疗的分析
 
同样,接受抗HER2治疗的女性的OS率(HR 0.22)高于未接受治疗的女性。在亚组分析中,所有Charlson-Deyo合并症评分组中,抗HER2治疗的OS改善均保持一致。
 
▽不同Charlson-Deyo合并症评分亚组患者接受抗HER2治疗的分析
 
接受激素阻断治疗女性的OS率(HR 0.56)高于未接受激素阻断治疗的女性。接受原发性肿瘤(乳腺)手术女性(HR 0.33)的OS率高于未接受手术的女性。值得注意的是,远处淋巴结或转移部位手术也提高了OS率(HR 0.64),而区域淋巴结手术的OS率(HR 0.65)与未进行手术相比相似。接受原发部位(乳腺)放射治疗(HR 0.54)、局部淋巴结放射治疗(HR 0.29)和远处淋巴结或部位放射治疗(HR 0.83)患者的OS率高于未进行任何部位放射治疗的患者。然而,与未进行姑息治疗相比,接受姑息治疗以缓解症状的患者OS率较低(HR 1.29)。
 
在多变量Cox比例风险分析中,年龄、Charlson–Deyo合并症评分、组织学、HER2 IHC表达、ER表达、PR表达、转移部位数量、转移部位(仅颅内/颅内和颅外/仅颅外)以及接受一线化疗、抗HER2治疗、激素阻断治疗、原发部位(乳腺)手术、非原发部位手术和姑息治疗是影响OS的独立因素。种族和放射在多变量分析中并不显著。
 
▽多变量Cox比例风险分析
 
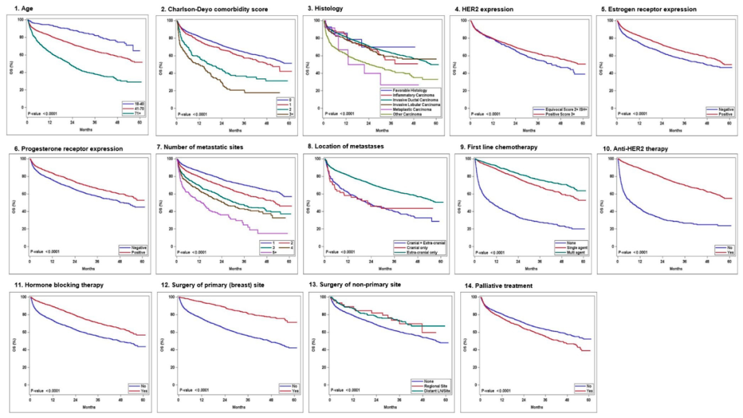
△多变量分析中的Kaplan-Meier生存曲线
 
(1-年龄,2-Charlson-Deyo合并症评分,3-组织学,4-HER2表达,5-雌激素受体表达,6-孕激素受体表达,7-转移部位数量,8-转移位置,9-一线化疗,10-抗HER2治疗,11-激素阻断治疗,12-原发(乳腺)部位手术,13-非原发部位手术,14-姑息治疗。)
 
研究结论
 
总之,这项研究是迄今为止真实世界中对新发转移性HER2阳性乳腺癌患者总生存期估计值进行的最大规模、最全面的分析[1]。通过评估人口统计学、临床和治疗相关因素,研究者确定了几个影响生存的关键独立预后变量。这项研究结果为临床医生诊断提供了个性化的预后建议,并有助于制定个性化的治疗方案。此外,这项研究还为建立预后组奠定了基础,并可能指导未来转移性HER2阳性乳腺癌的临床试验。
 
▌参考文献:
 
[1].Wang,Y.;Liang,Y.;Ye,F.;Luo,D.;Jin,Y.;Li,Y.;Zhao,W.;Chen,B.;Wang,L.;Yang,Q.Histologic heterogeneity predicts patient prognosis of HER2-positive metastatic breast cancer:A retrospective study based on SEER database.Cancer Med.2023,12,18597–18610.
 
[2].Kesireddy M,Masih D,Shostrom V K,et al.Overall Survival and Prognostic Factors in De Novo Metastatic Human Epidermal Growth Factor Receptor(HER)-2-Positive Breast Cancer:A National Cancer Database Analysis[J].Cancers,2025,17(11):1823.
 
[3].Noone,A.M.;Cronin,K.A.;Altekruse,S.F.;Howlader,N.;Lewis,D.R.;Petkov,V.I.;Penberthy,L.Cancer Incidence and Survival Trends by Subtype Using Data from the Surveillance Epidemiology and End Results Program,1992–2013.Cancer Epidemiol.Biomark.Prev.2017,26,632–641.
 
[4].Loibl,S.;Gianni,L.HER2-positive breast cancer.Lancet 2017,389,2415–2429.
 
[5].Sánchez-Lorenzo,L.;Bachiller,A.;Gea,C.;Espinós,J.Current Management and Future Perspectives in Metastatic HER2-Positive Breast Cancer.Semin.Oncol.Nurs.2024,40,151554.
 
[6].Tarantino,P.;Curigliano,G.;Parsons,H.A.;Lin,N.U.;Krop,I.;Mittendorf,E.A.;Waks,A.;Winer,E.P.;Tolaney,S.M.Aiming at a Tailored Cure for ERBB2-Positive Metastatic Breast Cancer:A Review.JAMA Oncol.2022,8,629–635.
 
材料编码:CN-20251215-00007。本资料仅供医疗卫生专业人士参考请,勿向非医疗卫生专业人士发放

本内容仅供医学专业人士参考


乳腺癌

分享到: 更多