当前位置:肿瘤瞭望>百家>述评/点评>正文

2026 ASCO GU大咖解读|朱煜教授:免疫治疗失败后晚期肾癌治疗新格局

作者:肿瘤瞭望   日期:2026/4/14 11:48:30  浏览量:39

肿瘤瞭望版权所有,谢绝任何形式转载,侵犯版权者必予法律追究。

当前,以免疫联合免疫(IO+IO)、免疫联合靶向(IO+TKI)为代表的一线治疗模式,已显著提高晚期肾细胞癌(aRCC)的生存预后,成为中高危患者的标准治疗选择。但在临床实践中,仍有大量患者经一线免疫治疗后出现疾病进展,免疫治疗失败后的后续治疗选择、最优序贯策略、生存获益与安全性平衡,长期缺乏高级别、大样本、针对性的循证医学证据,全球范围内尚未形成完全统一的标准治疗范式。

编者按:当前,以免疫联合免疫(IO+IO)、免疫联合靶向(IO+TKI)为代表的一线治疗模式,已显著提高晚期肾细胞癌(aRCC)的生存预后,成为中高危患者的标准治疗选择。但在临床实践中,仍有大量患者经一线免疫治疗后出现疾病进展,免疫治疗失败后的后续治疗选择、最优序贯策略、生存获益与安全性平衡,长期缺乏高级别、大样本、针对性的循证医学证据,全球范围内尚未形成完全统一的标准治疗范式。
 
随着2026年美国临床肿瘤学会生殖泌尿肿瘤研讨会(ASCO GU)如期召开,肾癌领域多项重磅研究直击这一核心临床痛点,从真实世界数据到Ⅲ期随机对照试验,从国际标准方案到中国研究结果汇报,全面构建免疫治疗失败后晚期肾癌的治疗新框架,为临床实践提供清晰指引。《肿瘤瞭望》特邀复旦大学附属肿瘤医院朱煜教授结合本次ASCO GU大会的重磅研究,拆解其研究数据,兼顾国际视野与中国实践,为临床用药提供双向、精准、可落地的参考依据。
 
 
目前,国内外权威指南已针对免疫治疗失败后的晚期肾癌形成高度一致的核心推荐框架。卡博替尼单药被CSCO、NCCN、EAU三大指南共同列为推荐方案:CSCO指南立足中国人群证据与药物可及性,将卡博替尼、仑伐替尼联合依维莫司并列为II级推荐[1];NCCN指南以全球高级别证据为核心,将卡博替尼标注为优选单药,同时纳入阿昔替尼、靶向联合免疫再挑战以及HIF-2α抑制剂相关新型方案[2];EAU指南则按照一线治疗类型进行分层,明确IO+IO方案进展后优先推荐卡博替尼单药,IO+TKI方案进展后可选择卡博替尼、仑伐替尼联合依维莫司或Belzutifan联合仑伐替尼,整体证据等级均达到高级别水平[3]
 
尽管指南已搭建起基本治疗框架,但临床仍面临两大关键未满足需求:其一,以伊匹木单抗联合纳武利尤单抗为代表的IO+IO方案失败后,缺乏大样本真实世界数据支撑方案选择与获益评估;其二,以HIF-2α抑制剂为代表的新型机制药物,与当前标准靶向药物之间缺乏头对头Ⅲ期研究对比,难以确立更优的后线升级方案。而2026 ASCO GU公布的两项重磅研究,恰好精准回应上述问题,为指南落地与临床决策提供了最强力的循证支持。
 
GUARDIANS研究[4]:IO+IO失败后,卡博替尼确立真实世界金标准
 
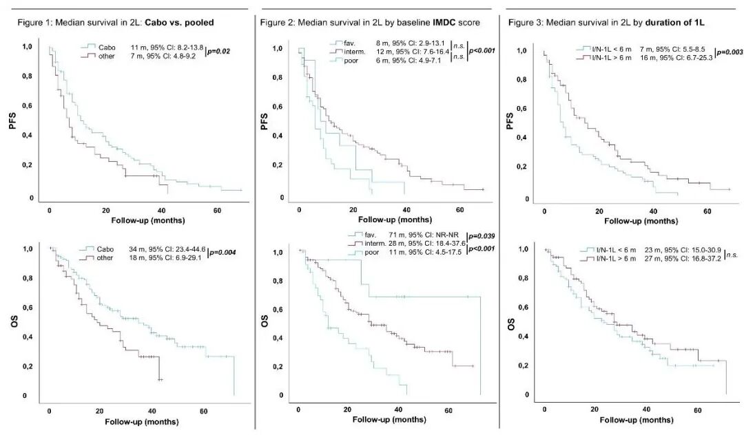
本次ASCO GU公布的GUARDIANS研究,是来自德国与瑞士17家三甲中心的多中心、回顾性、真实世界研究,也是目前全球样本量最大的一线IO+IO治疗失败后晚期肾癌后线治疗研究,填补了该领域长期数据空白。
 
研究共纳入356例经一线伊匹木单抗联合纳武利尤单抗治疗后疾病进展的晚期肾细胞癌患者,基线特征高度贴合临床真实场景:中位年龄64岁,男性占69.1%,透明细胞癌占74.1%;ECOG PS≥2分者占14.3%,IMDC中危占61.8%、高危占28.7%,以难治性人群为主。后线治疗中,卡博替尼为临床最常用方案,对照组为舒尼替尼、阿昔替尼、培唑帕尼、仑伐替尼+依维莫司、替沃扎尼、其他IO/TKI联合方案及Belzutifan等多种治疗。
 
疗效结果显示,卡博替尼在后线治疗中展现出压倒性的生存优势:中位总生存(OS)达到38个月(95%CI 20.7-55.3),显著优于对照组的16个月(95%CI 10.1-21.9),HR=0.515,P=0.004,死亡风险降低48.5%;中位无进展生存(PFS)为15个月(95%CI 8.2-21.9),对照组仅7个月(95%CI 5.1-8.9),HR=0.608,P=0.016,疾病进展风险降低39.2%。安全性方面,卡博替尼的不良事件谱与既往研究一致,3级及以上治疗相关不良事件发生率可控,未出现新的安全信号。
 
无进展生存期PFS(图1-3);总生存OS(图4-6)
 
该研究的核心价值在于,首次在大样本真实世界人群中证实,伊匹木单抗联合纳武利尤单抗一线失败后,卡博替尼可带来显著且稳健的生存获益,OS较其他方案延长超2倍,PFS延长超1倍,为指南推荐提供了扎实的真实世界支撑,进一步确立了卡博替尼在IO+IO失败后标准首选方案的地位,尤其适用于透明细胞癌及IMDC中高危人群。
 
LITESPARK-011研究[5]:HIF-2α抑制剂联合方案,挑战标准治疗新高度
 
作为2026 ASCO GU肾癌领域的头号重磅研究,LITESPARK-011研究是全球首个HIF-2α抑制剂联合VEGFR-TKI,对比当前标准靶向药物卡博替尼的Ⅲ期随机对照试验,直接针对抗PD-(L)1治疗失败后的晚期透明细胞癌,开辟了全新治疗路径。
 
研究纳入≥18岁、经一线/二线/辅助抗PD-(L)1治疗后进展的晚期透明细胞癌患者,1:1随机分配至Belzutifan 120mg QD联合仑伐替尼20mg QD组,或卡博替尼60mg QD对照组。双重主要终点为盲态独立中心评审(BICR)评估的PFS与OS,关键次要终点包括ORR、DOR及安全性。第二次中期分析数据的中位随访时间达29.0个月。
 
疗效数据呈现全面优势:中位PFS方面,Belzutifan联合仑伐替尼组为14.8个月(95%CI 11.2-16.6),卡博替尼组为10.7个月(95%CI 9.2-11.1),HR=0.70,P<0.0001,疾病进展风险降低30%,差异具有统计学意义;OS方面,Belzutifan联合仑伐替尼组中位OS为34.9个月(95%CI 27.5-NR),卡博替尼组为27.6个月(95%CI 24.0-31.4),HR=0.85,P=0.06075,获益趋势明显,最终分析仍在随访中;ORR方面,Belzutifan联合仑伐替尼组达52.6%,显著高于卡博替尼组的40.2%;中位DOR方面,Belzutifan联合仑伐替尼组为23.0个月,卡博替尼组仅12.3个月,缓解持久性大幅提升。
 
安全性数据显示,两组3级及以上TRAE发生率接近,Belzutifan联合仑伐替尼组71.6%,卡博替尼组65.8%;联合方案耐受性良好。
 
PFS(上图)OS(下图)
 
LITESPARK-011研究具有里程碑意义:它是全球首个成功证实HIF-2α抑制剂联合VEGFR-TKI优于标准靶向药物的Ⅲ期研究,PFS、ORR、DOR三大疗效终点全面超越卡博替尼,尽管目前在OS上,Belzutifan+仑伐替尼并未达到统计学显著获益的界值,但已展现出了获益的趋势,为免疫治疗失败后提供了更优的新型联合选择,Belzutifan联合仑伐替尼可能可以成为未来免疫治疗进展后的晚期肾癌的标准治疗方案。
 
HIF-2α抑制剂治疗方案再探索:3项Ⅰ/Ⅱ期研究解读免疫失败后ccRCC治疗新选择
 
KEYMAKER-U03研究03B亚组——多种新型联合方案治疗经治晚期ccRCC的疗效对比[6]
 
KEYMAKER-U03研究03B亚组评估了6种新型联合方案在经PD-(L)1抑制剂与VEGF-TKI治疗后进展ccRCC患者中的价值,中位随访超22.9个月。结果显示,Belzutifan联合仑伐替尼组展现出最高抗肿瘤活性,ORR达46.9%,DOR为22.1个月。其次为帕博利珠单抗联合仑伐替尼,ORR达39.7%,DOR为8.3个月;帕博利珠单抗联合Belzutifan疗效与历史Belzutifan单药相当,ORR为19.4%,DOR未达到。在IIT人群中,Belzutifan联合仑伐替尼组表现最好,中位PFS达12.5个月,OS为32.3个月。安全性方面,各方案耐受性均可控,Belzutifan联合仑伐替尼组3~5级治疗相关不良事件发生率为63%,少数患者因治疗相关不良事件死亡。该研究与上述LITESPARK-011研究相互印证,进一步支持Belzutifan联合仑伐替尼方案在免疫经治人群中的显著疗效。支持Belzutifan联合VEGFR-TKI方案的进一步探索。
 
LITESPARK-024研究——Belzutifan联合Palbociclib剂量递增治疗经多线治疗晚期ccRCC的Ⅰ/Ⅱ期研究[7]
 
LITESPARK-024研究针对接受过至少2线系统治疗(含抗PD-(L)1与VEGFR-TKI)的晚期透明细胞肾细胞癌患者,探索HIF-2α抑制剂Belzutifan联合CDK4/6抑制剂Palbociclib的安全性与推荐Ⅱ期剂量。第一阶段研究为剂量递增设计,Belzutifan 120mg QD联合Palbociclib 75mg/100mg/125mg QD,研究共纳入58例患者,结果显示联合方案总体安全性可控,各剂量组频繁出现≥3级TRAE,主要≥3级TRAE为贫血。中性粒细胞减少的发生率随Palbociclib剂量增加而升高,因此未启动研究的第二阶段,该研究展示了以HIF-2α抑制剂为基础的联合方案探索思路。
 
ARC-20研究——新一代HIF-2α抑制剂Casdatifan单药治疗难治性ccRCC的疗效与生物标志物分析[8]
 
该研究聚焦新一代HIF-2α抑制剂Casdatifan单药在经抗PD-(L)1及VEGFR-TKI治疗后进展的转移性ccRCC患者中的应用。中位随访至12个月,100 mg QD剂量组ORR达45%,总人群ORR 35%,100 mg QD剂量组中位PFS为15.1个月,总人群中位PFS为12.2个月,展现出持久且可观的抗肿瘤活性。安全性上,治疗相关剂量调整率较低,Casdatifan导致的TEAE导致的停药事件发生率3%,无治疗相关死亡。生物标志物探索结果显示,血清促红细胞生成素(sEPO)抑制与临床获益显著相关,最大sEPO降低比例≥80%的患者,客观缓解率更高(OR=2.01,P=0.01),PFS更长(HR=0.58,P=0.008)。该研究首次证实了血清促红细胞生成素的最大抑制程度(≥80%)与更高的ORR和更长的PFS显著相关,明确了HIF-2α生物学活性与临床结局的关联。
 
中国方案闪耀国际舞台:国产TKI联合方案探索,为亚洲人群提供新选择
 
在全球重磅研究之外,2026 ASCO GU同步收录了中国晚期肾癌后线治疗研究结果报告,该研究是一项单臂、剂量探索阶段的Ⅱ期临床研究,专门针对一线IO+IO或IO+TKI治疗失败的晚期透明细胞癌患者,采用呋喹替尼联合依维莫司联合方案。入组人群100%为亚洲患者,中位年龄54岁,IMDC中高危占77.8%,基线特征与中国临床实践匹配9。
 
研究结果显示,共入组9例患者。4mg剂量组3例患者、5mg剂量组6例患者,均未出现剂量限制性毒性(DLT),确定呋喹替尼的推荐Ⅱ期剂量(RP2D)和最大耐受剂量(MTD)均为5mg,ORR为41.5%,疾病控制率(DCR)高达86.7%;3级及以上不良事件为腹泻和蛋白尿,发生率均为11.1%,安全性优于国外同类方案,耐受性更适合亚洲人群。该研究在亚洲人群中证实,呋喹替尼联合依维莫司联合方案在免疫治疗失败后晚期肾癌中具有优异的疗效与安全性,弥补了全球研究中亚洲人群样本不足的短板。中国研究的亮相,不仅为国内患者提供了可及性更高、安全性更优的本土选择,也为全球肾癌后线治疗注入东方智慧,推动精准治疗向更细分人群、更个体化方向迈进。
 
总结与展望
 
2026 ASCO GU为免疫治疗失败后晚期肾癌治疗交出了完整答卷:GUARDIANS真实世界研究夯实了卡博替尼在IO+IO失败后的金标准地位,解决了长期缺乏大样本真实世界证据的困境;LITESPARK-011Ⅲ期研究开创HIF-2α抑制剂联合VEGFR-TKI的全新治疗时代,以更高疗效挑战标准方案;HIF-2α靶向直击ccRCC核心驱动通路(VHLHIF),与VEGFR-TKI作用机制互补,为后续新型联合治疗方案的探索提供重要依据;中国呋喹替尼联合依维莫司研究则立足亚洲人群,提供了安全有效、可及性高的本土方案。
 
免疫治疗并非晚期肾癌治疗的终点,而是精准治疗的新起点。随着新型药物、联合策略与本土研究持续涌现,晚期肾癌的长期生存与治愈目标正逐步成为现实。
 
专家简介
朱煜教授
复旦大学附属肿瘤医院
复旦大学附属肿瘤医院泌尿外科副主任医师,副教授,副研究员,硕士研究生导师,大外科主任助理
复旦大学克卿书院导师
中国抗癌协会泌尿男生殖系肿瘤专委会(CACA-GU)肾癌学组、中国性学会(CSA)手术医学分会、中国非公协会(CNMIA)泌尿外科分会、男性生殖与性医学分会、上海市医学会互联网医疗分会等学会委员、常委
《CACA-GU肾癌指南》《肾脏肿瘤诊治与康复指南》《CSCO免疫检查点抑制剂临床应用指南》《临床肿瘤学》编写组专家
国家自然科学基金委、上海市科委评审专家
The Innovation、HIO、AUO等杂志编委
上海东方英才计划青年人才,上海市“医苑新星”青年医学人才,上海市卫健委青年五四奖章
上海市青年科技人才协会会员,CDFI认证泌尿超声师
擅长泌尿男生殖系统肿瘤以手术为主的全程化综合治疗,围绕泌尿系统肿瘤免疫调控方向发表SCI论文39篇,承担国家级、省部级等项目及人才计划共16项。
 
参考文献:
 
1.2025年CSCO肾癌指南
 
2.NCCN Guidelines Version 1.2026 Kidney Cancer
 
3.2026 EAU Kidney Cancer Guideline
 
4.Hendrik Dinkel,et al.Second-Line Cabozantinib Is Associated With Better Survival Outcomes Than Other Options in Advanced RCC.2026 ASCO-GU.A437
 
5.Robert J.Motzer,et al.Belzutifan+Lenvatinib versus Cabozantinib for Advanced RCC after Anti-PD-(L)1 Therapy:Open-Label Phase 3 LITESPARK-011 Study.2026 ASCO-GU.LBA417
 
6.Laurence Albiges,et al.KEYMAKER-U03 Substudy 03B:Novel Investigative Regimens for Previously Treated Advanced Clear Cell RCC.2026 ASCO-GU.A505
 
7.David F.McDermott,et al.Ascending Dose Escalation of Belzutifan+Palbociclib for Previously Treated Advanced ccRCC-Phase 1/2 LITESPARK-024 Study Part 1.2026 ASCO-GU.A423
 
8.Toni K.Choueiri,et al.Adjuvant Pembrolizumab+Belzutifan versus Pembrolizumab for Clear Cell RCC:The Randomized Phase 3 LITESPARK-022 Study.2026 ASCO-GU.A493
 
9.Kaiwei Yang,et al.Fruquintinib combined with everolimus in Chinese patients with advanced/metastatic clear cell renal cell carcinoma(ccRCC)after progression on immune checkpoint inhibitors(ICIs):Results from a phase II single arm clinical trial.2026 ASCO-GU.A497.

本内容仅供医学专业人士参考


肾癌

分享到: 更多