当前位置:肿瘤瞭望>资讯>研究>正文

新辅助新型ADC药物或序贯紫杉醇、曲妥珠单抗和帕妥珠单抗治疗高危HER2阳性早期乳腺癌(DB11):一项随机、开放标签、多中心、III期试验

作者:肿瘤瞭望   日期:2026/4/3 17:51:07  浏览量:316

肿瘤瞭望版权所有,谢绝任何形式转载,侵犯版权者必予法律追究。

新型ADC药物联合方案显著提升高危HER2早期乳腺癌的pCR率,并改善安全性。

【导语】
 
新型ADC药物联合方案显著提升高危HER2早期乳腺癌的pCR率,并改善安全性。
 
【前言】
 
当前,对于有新辅助治疗指征的人表皮生长因子受体2(HER2)阳性早期乳腺癌患者,标准治疗(SOC)是曲妥珠单抗联合帕妥珠单抗的双重HER2靶向治疗,并同时或序贯联合多药化疗(如蒽环类-紫杉类或卡铂-紫杉类方案)。然而,这些治疗方案伴随着巨大的毒性负担。蒽环类药物存在急性和长期不良事件(AE)的风险,包括发热性中性粒细胞减少症、心脏毒性和继发性白血病。此外,多西他赛、卡铂、曲妥珠单抗和帕妥珠单抗(TCHP)治疗常并发神经系统、血液系统和胃肠道不良事件。
 
研究表明,病理完全缓解(pCR)是患者无事件生存期(EFS)的良好预后指标,在HER2阳性疾病中尤为如此[1]。新辅助治疗后达到pCR的患者可能有机会接受比存在残留病灶的患者更温和的辅助治疗。然而,目前只有39%至64%的患者在接受标准治疗后达到pCR,因此亟需新的新辅助治疗选择[2]。此外,对于新辅助治疗后仍有残留病灶的HER2阳性早期乳腺癌患者,约20%在3年后经历疾病复发;高危复发因素包括淋巴结阳性和诊断时肿瘤体积较大(临床肿瘤分期>cT3)[3-4]
 
新型靶向HER2的抗体偶联药物(ADC),采用基于四肽的可裂解连接子和拓扑异构酶I抑制剂有效载荷,已获批用于HER2阳性转移性乳腺癌的治疗。DESTINY-Breast11试验旨在评估新型ADC药物在转移性环境中的研究结果是否能转化为早期疾病的获益。该研究在患有高危(≥cT3 cN0或cT0-4 cN1-3)、HER2阳性疾病的患者中,比较了新型ADC药物单药或序贯紫杉醇加曲妥珠单抗加帕妥珠单抗(THP)与剂量密集型多柔比星加环磷酰胺(ddAC)序贯THP的疗效和安全性。本文对其主要内容进行概述,供读者参考。
 
【研究方法】

研究设计与参与者
 
本研究是一项在18个国家和147个中心(医院、大学医院以及医疗和肿瘤中心)开展的针对高危、HER2阳性、早期乳腺癌的III期、开放标签、随机、三臂研究。符合条件的患者为既往未接受过治疗的局部晚期或炎性乳腺癌患者,主要临床肿瘤分期为≥cT3且cN0-3,或具有阳性淋巴结受累的任何大小原发肿瘤(任何cT且cN1-3)。患者必须年满18岁,并且美国东部肿瘤合作组(ECOG)体能状态评分为0-1分。
 
随机化与治疗程序
 
患者按1:1:1的比例随机分配至新型ADC药物单药组、新型ADC药物-THP组和ddAC-THP组。随机化分层因素包括激素受体(HR)状态和中心评估的HER2阳性状态。新型ADC药物单药组患者接受静脉注射(5.4 mg/kg,每3周一次),共8个周期。新型ADC药物-THP组患者接受静脉注射新型ADC药物(5.4 mg/kg,每3周一次)4个周期,随后接受静脉注射紫杉醇(80 mg/m2,每周一次),同时联合静脉注射曲妥珠单抗(6 mg/kg,每3周一次)和帕妥珠单抗(840 mg负荷剂量,随后420 mg,每3周一次),共4个周期。ddAC-THP组患者接受静脉注射多柔比星(60 mg/m2,每2周一次)和环磷酰胺(600 mg/m2,每2周一次)4个周期,随后接受静脉注射紫杉醇(80 mg/m2,每周一次),同时联合静脉注射曲妥珠单抗(8 mg/kg负荷剂量,随后6 mg/kg,每3周一次)和帕妥珠单抗(840 mg负荷剂量,随后420 mg,每3周一次),共4个周期。手术的建议窗口期为最后一剂新辅助研究治疗给药后的3至6周。在独立数据监察委员会(IDMC)建议下,新型ADC药物单药组的入组于2024年3月13日提前关闭,此后患者按1:1的比例随机分配至新型ADC药物-THP组和ddAC-THP组。
 
结局评估
 
主要终点是通过盲法中心评估的pCR率(ypT0/is ypN0定义),以评估新辅助新型ADC药物单药组或新型ADC药物-THP组与ddAC-THP相比的疗效。次要终点包括pCR率(ypT0 ypN0定义)、EFS、侵袭性无病生存期(iDFS)和总生存期(OS)。额外疗效指标包括无远处转移生存期(DMFS)和残留肿瘤负荷(RCB)。
 
【研究结果】

患者基线特征
 
在2021年10月25日至2025年3月12日期间,共有927名女性患者被随机分配至意向性治疗(ITT)人群:其中新型ADC药物单药组286例,新型ADC药物-THP组321例,ddAC-THP组320例。各组的人口统计学和基线临床特征分布均衡。患者的中位年龄为50岁,大多数患者为亚洲人(47.9%)或白人(44.9%)。总体而言,456名患者(49.2%)患有美国癌症联合委员会(AJCC)临床II期疾病,467名患者(50.4%)患有III期疾病。在所有患者中,676名(72.9%)基线时为激素受体(HR)阳性。临床肿瘤大小为cT0-2的比例为56.2%(521名患者),cT3-4的比例为43.8%(406名患者)。绝大多数患者即822名(88.7%)患有淋巴结阳性疾病,仅有81名(8.7%)为淋巴结阴性。
 
表1:意向性治疗人群的人口统计学和基线临床特征
 
主要终点:病理完全缓解率(pCR)
 
研究结果显示,新型ADC药物-THP组的pCR率(ypT0/is ypN0)达到了67.3%(216/321),而ddAC-THP组为56.3%(180/320)。两组的pCR率绝对差异为11.2%(95%置信区间[CI],4.0%至18.3%,P=0.003),成功达到了预先设定的显著性阈值0.03。相比之下,新型ADC药物单药组的pCR率为43.0%(123/286),与ddAC-THP组相比的绝对差异为-13.2%(95%CI,-20.8%至-5.4%,P=0.001)。在大多数预先设定的亚组中,均观察到了新型ADC药物-THP组以ypT0/is ypN0定义的pCR率的改善。值得注意的是,新型ADC药物-THP组相较于ddAC-THP组的pCR率提升在激素受体(HR)阳性亚组和HR阴性亚组中均有显著体现。具体而言,HR阳性亚组的pCR率为61.4%对52.3%(绝对差异9.1%,95%CI 0.2%至17.9%),而HR阴性亚组为83.1%对67.1%(绝对差异16.1%,95%CI 3.0%至28.8%)。此外,以ypT0 ypN0定义的次要终点pCR率同样显示出新型ADC药物-THP组优于ddAC-THP组。
 
图1:意向性治疗人群及不同激素受体亚组的病理完全缓解率(ypT0/is ypN0)
 
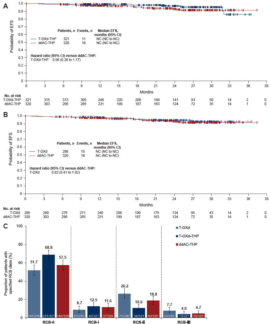
次要与额外疗效结果:EFS与RCB
 
在随访时间方面,新型ADC药物-THP组的中位随访时间为24.3个月,新型ADC药物单药组为24.9个月,ddAC-THP组为23.6个月。初步的无事件生存期(EFS)数据(事件成熟度为4.5%)显示,新型ADC药物-THP组的事件数少于ddAC-THP组,其风险比(HR)为0.56(95%CI,0.26至1.17);各组的中位EFS均未达到。关于残留肿瘤负荷(RCB),与ddAC-THP组相比,新型ADC药物-THP组在切除的乳腺和淋巴结组织中显示出更高的RCB-0率(68.8%对57.5%),而RCB-I率则较为相似(12.5%对11.6%)。
 
图2:意向性治疗人群的其他疗效终点
 
安全性结果
 
共有283名(新型ADC药物单药组)、320名(新型ADC药物-THP组)和312名(ddAC-THP组)患者被纳入安全性分析集。不良事件(AE)的总发生率分别达到了97.5%、98.1%和98.7%。然而,≥3级不良事件的发生率存在显著差异,新型ADC药物单药组为22.6%,新型ADC药物-THP组为37.5%,而在ddAC-THP组高达55.8%。在特定系统不良事件方面,所有级别和≥3级的血液学AE(包括贫血、中性粒细胞减少和白细胞减少)在新型ADC药物单药和新型ADC药物-THP组中的发生率均低于ddAC-THP组;但所有级别的恶心发生率在包含新型ADC药物的两个组别中更高。严重不良事件(SAE)的发生率在新型ADC药物单药组为10.2%,新型ADC药物-THP组为10.6%,显著低于ddAC-THP组的20.2%。由独立委员会裁定的药物相关间质性肺病(ILD)/肺炎在各组间的发生率较低且基本相似,新型ADC药物单药组为4.9%(均为非3级以上),新型ADC药物-THP组为4.4%(≥3级占0.6%),ddAC-THP组为5.1%(≥3级占1.9%)。此外,左心室功能障碍的发生率在新型ADC药物单药组为0.7%,新型ADC药物-THP组为1.3%,均远低于ddAC-THP组的6.1%;且新型ADC药物单药和新型ADC药物-THP组均未发生心力衰竭事件,而ddAC-THP组发生了4起事件。整个研究期间,共有三起与治疗相关的死亡事件发生,其中新型ADC药物-THP组1例(0.3%),ddAC-THP组2例(0.6%)。
 
表2:安全性分析集中的总体安全性总结
 
表3:安全性分析集中最常见的不良事件(发生率≥20%)
 
【文章小结】
 
DESTINY-Breast11研究是十多年来针对新辅助HER2阳性早期乳腺癌领域新药的首个取得阳性结果的全球注册试验。研究结果表明,相较于传统的剂量密集型多柔比星联合环磷酰胺序贯紫杉醇联合双靶向(ddAC-THP)的标准方案,新辅助新型ADC药物-THP方案不仅展示出了具有统计学意义和临床意义的pCR率的显著提升(绝对获益达11.2%),而且展现出更为优越的整体安全性特征。该方案显著降低了≥3级不良事件、严重不良事件以及血液学毒性和左心室功能障碍的发生率。
 
这项研究创新性地将具有多重作用机制的抗体偶联药物(ADC)提前应用于早期乳腺癌的新辅助治疗路径中。其令人鼓舞的疗效与安全性结果,不仅进一步验证了新型ADC药物在早期肿瘤治疗中的潜力,也支持了新型ADC药物-THP作为一种相较于传统含蒽环类药物方案更为有效、毒副作用更低的新辅助治疗选择。在未来的临床实践中,新型ADC药物-THP有望为高危、HER2阳性早期乳腺癌患者提供一种免于蒽环类和卡铂类药物暴露的全新治疗模式,具有重要的临床应用价值与改变治疗格局的深远意义。
 
【参考文献】
 
1.Korde LA,Somerfield MR,Carey LA,et al.Neoadjuvant chemotherapy,endocrine therapy,and targeted therapy for breast cancer:ASCO guideline.J Clin Oncol.2021;39:1485-1505.
 
2.Loibl S,AndréF,Bachelot T,et al.Early breast cancer:ESMO clinical practice guideline for diagnosis,treatment and follow-up.Ann Oncol.2024;35:159-182.
 
3.Hurvitz SA,Martin M,Symmans WF,et al.Neoadjuvant trastuzumab,pertuzumab,and chemotherapy versus trastuzumab emtansine plus pertuzumab in patients with HER2-positive breast cancer(KRISTINE):a randomised,open-label,multicentre,phase 3 trial.Lancet Oncol.2018;19:115-126.
 
4.Cortazar P,Zhang L,Untch M,et al.Pathological complete response and long-term clinical benefit in breast cancer:the CTNeoBC pooled analysis.Lancet.2014;384:164-172.
 
本资料仅供医疗卫生专业人士参考,请勿向非医疗卫生专业人士发放
材料编码:CN-20260402-00005

本内容仅供医学专业人士参考


乳腺癌

分享到: 更多