当前位置:肿瘤瞭望>资讯>正文

瞭望东方丨中国首次报道BRCA1/2突变乳腺癌患者对侧乳腺癌的发病风险

作者:肿瘤瞭望   日期:2020/4/23 12:42:03  浏览量:16716

肿瘤瞭望版权所有,谢绝任何形式转载,侵犯版权者必予法律追究。

BRCA1和BRCA2是目前研究与乳腺癌发生最为密切的易感基因,携带BRCA1/2致病性突变的乳腺癌患者,其对侧乳腺癌(Contralateral breast cancer,CBC)发病风险也显著增加。准确评估CBC风险对于BRCA1/2突变者实施最佳管理方案至关重要。但是,不同种族人群中BRCA1/2突变对CBC发病风险的影响存在差异。迄今为止,中国人群中携带BRCA1/2突变的乳腺癌患者其CBC发病风险还未见报道。

2020年2月9日,《International Journal of Cancer》在线发表了北京大学肿瘤医院解云涛教授团队的研究报告,分析了近万例中国乳腺癌患者发生CBC的风险,这也是首次报道中国人群中BRCA1/2突变乳腺癌患者CBC的发病风险。


该研究回顾性分析了2003年10月~2015年5月北京大学肿瘤医院乳腺中心收治的9401例原发性乳腺癌患者,所有患者未经年龄和家族史筛选,并且均进行了BRCA1/2基因检测,评估BRCA1/2突变乳腺癌患者罹患对侧乳腺癌的风险。


结果发现:


  • BRCA1/2突变者CBC风险显著高于非突变者。


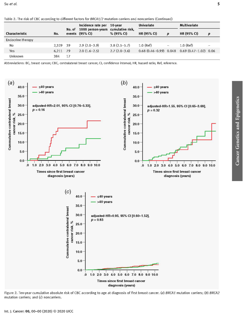
BRCA1突变、BRCA2突变和非携带者的10年累积CBC风险分别为:15.5%,17.5%,3.2%。与非携带者相比,BRCA1和BRCA2突变携带者的CBC风险分别增加了4.52和5.54倍。


  • 乳腺癌首诊年龄小于40岁可增加BRCA1突变者CBC风险。


首诊年龄≤40 岁 vs >40岁:BRCA1突变10年CBC风险21.5% vs 11.9%,(未校正风险比[HR]=2.51,p=0.044)。首诊年龄对于BRCA2突变者影响不显著。


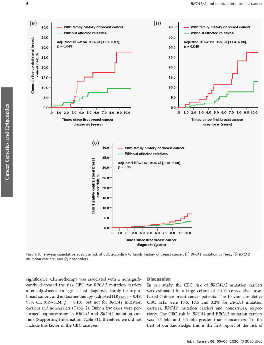
  • 乳腺癌家族史显著增加BRCA1和BRCA2突变者CBC风险。


BRCA1携带者10年累积CBC风险:有家族史vs 无家族史:27.5% vs 9.4%,调整HR=2.64,p=0.049;


BRCA2携带者10年累积CBC风险:有家族史vs 无家族史:27.1% vs 12.8%,调整HR=2.29,p=0.040。


该研究显示BRCA1/2突变可增加乳腺癌患者CBC的发病风险,而有乳腺癌家族史的BRCA1/2突变携带者,其CBC风险增加更显著,有乳腺癌家族史的BRCA1和BRCA2突变携带者10年累积CBC风险是无乳腺癌家族史携带者的2.6倍和2.3倍。目前,对侧预防性乳房切除术在中国乳腺癌患者中尚未被广泛接受,该研究结果表明,对BRCA1和BRCA2突变的中国乳腺癌患者,尤其是有乳腺癌家族史的患者可推荐对侧预防性乳房切除术和/或重建。


同时本研究也再次提示了BRCA1/2基因检测的重要性。对于携带突变的健康者可以给予密切监测,有利于乳腺癌早诊。对于BRCA1/2突变乳腺患者,则有利于选择合适的治疗方案或手术方式。中国的乳腺癌患者具有中国人群自身的特点,需要立足本土,开展规范化的BRCA检测,建立遗传咨询门诊,更好地评估健康风险并指导乳腺癌患者的临床治疗决策。



专家简介

解云涛

北京大学肿瘤医院乳腺中心主任医师、教授,博士生导师

现任北京大学肿瘤医院家族遗传性肿瘤中心主任,乳腺中心实验室主任

北京大学国际医院乳腺外科主任

中国抗癌协会家族遗传性肿瘤专业委员会主任委员

中国抗癌协会乳腺癌专业委员会常委

本内容仅供医学专业人士参考


乳腺癌

分享到: 更多