当前位置:肿瘤瞭望>资讯>新知>正文

共悦︱全球瞩目·中国声音:乳腺癌脑转移治疗“双星”并耀,中肿真实世界研究探索T-DXd精准之路

作者:肿瘤瞭望   日期:2026/1/20 14:21:19  浏览量:647

肿瘤瞭望版权所有,谢绝任何形式转载,侵犯版权者必予法律追究。

乳腺癌是全球最常见的恶性肿瘤,也是实体瘤中第二常见的脑转移原因。此外,随着全身治疗的改善和生存期的延长,脑转移的发病率随时间稳步上升。乳腺癌脑转移的发病率因分子亚型而异。高达50%的HER2阳性晚期乳腺癌会发生脑转移。HER2低表达/零表达乳腺癌脑转移的发病率尚未得到充分描述,其中三阴性乳腺癌的患病率较高,为25%–56%,而HR阳性亚型的发病率较低,为8%–15%。与无脑转移患者相比,乳腺癌脑转移患者通常生存结局较差,治疗策略有限。近年来,越来越多的数据表明,德曲妥珠单抗(T-DXd)在HER2阳性乳腺癌脑转移/低表达及零表达的患者中具有显著的全身和颅内活性。但T-DXd在真实世界中面对状况更复杂患者的表现仍有待汇总。近些年随着脑转移治疗手段的发展,以及新型药物在临床中的应用,越来越多的真实世界的数据补充了临床研究的数据,与临床研究的双星并行指导临床的实践也给了我们更多的启发,本文特此请到中山大学肿瘤防治中心的安欣教授,为晚期乳腺癌脑转移治疗的真实世界研究进行梳理与解读,以飨读者。

编者按:乳腺癌是全球最常见的恶性肿瘤,也是实体瘤中第二常见的脑转移原因。此外,随着全身治疗的改善和生存期的延长,脑转移的发病率随时间稳步上升。乳腺癌脑转移的发病率因分子亚型而异。高达50%的HER2阳性晚期乳腺癌会发生脑转移。HER2低表达/零表达乳腺癌脑转移的发病率尚未得到充分描述,其中三阴性乳腺癌的患病率较高,为25%–56%,而HR阳性亚型的发病率较低,为8%–15%。与无脑转移患者相比,乳腺癌脑转移患者通常生存结局较差,治疗策略有限。近年来,越来越多的数据表明,德曲妥珠单抗(T-DXd)在HER2阳性乳腺癌脑转移/低表达及零表达的患者中具有显著的全身和颅内活性。但T-DXd在真实世界中面对状况更复杂患者的表现仍有待汇总。近些年随着脑转移治疗手段的发展,以及新型药物在临床中的应用,越来越多的真实世界的数据补充了临床研究的数据,与临床研究的双星并行指导临床的实践也给了我们更多的启发,本文特此请到中山大学肿瘤防治中心的安欣教授,为晚期乳腺癌脑转移治疗的真实世界研究进行梳理与解读,以飨读者。
 
 
在刚刚结束的2025年SABCS大会上,发布了多项T-DXd在脑转移患者的真实世界研究数据。DB-12研究公布了基于不同HR状态分层的亚组分析结果,无论患者HR状态如何,T-DXd在伴脑转移的HER2阳性乳腺癌患者中均表现出一致的颅内活性和可靠的安全性,尤其在三阳性乳腺癌脑转移患者中也展示出了较好的疗效。
 
另外,本次大会公布的HALLOW中期分析探讨了HER2低表达伴有脑转移(包括活动性脑转移)患者对T-DXd的应答情况。HALLOW研究的这项中期分析为临床上亟需治疗方案的HER2低表达乳腺癌合并活动性脑转移患者带来了积极的希望,表明T-DXd能在有效控制系统性疾病的同时,对颅内病灶也表现出有前景的控制效果,且安全谱符合预期。这一结果支持T-DXd作为HER2低表达脑转移患者的优选治疗方案,尤其是在不适合局部治疗或局部治疗失败的患者。
 
 
我国真实世界研究:T-DXd在HR阴性、HER2低表达晚期乳腺癌中具有良好疗效与安全性
 
https://doi.org/10.1038/s41523-025-00841-9
 
研究背景:HR阳性人群约50–60%为HER2低表达,HR阴性人群中约12–20%为HER2低表达。里程碑研究DB-04首次证实T-DXd在HER2低表达mBC中的有效性,但HR阴性亚组样本有限;DB-06进一步在HER2低表达与超低表达人群显示获益,但未纳入HR阴性亚组。因而HR阴性HER2低表达患者的证据存在缺口,尤其与Trop-2 ADC(如SG)的比较与序贯问题。本研究旨在评估T-DXd在HR阴性、HER2低表达mBC中的真实世界疗效与安全性,并探索影响疗效的临床因素与潜在生物标志物。
 
研究设计:本研究为回顾性、多中心队列研究,每个21天的治疗周期第1天为患者静脉注射T-DXd,治疗持续至疾病进展、无法耐受的毒性反应或因其它原因停药。研究评估ORR,CR/PR的比例,DCR、rwPFS、OS、AEs。
 
患者基线特征:2022年5月至2025年5月,研究共纳入64例符合条件患者,所有患者均为女性,中位年龄47岁。53.1%患者为初发HR阴性乳腺癌,其余患者为HR阳性转变至HR阴性。52例患者(81.2%)为初发HER2低表达,12例(18.8%)为HER2零表达转至HER2低表达。47例患者(73.4%)伴有内脏转移,其中肝转移占45.3%,肺转移占42.2%,脑转移占17.2%。32.8%的患者为一线或二线治疗,67.2%的患者为三线及更晚期治疗。
 
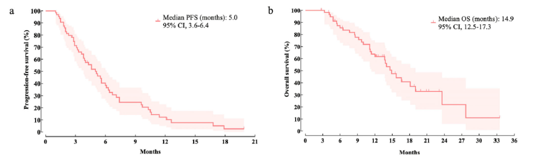
研究结果显示:T-DXd中位治疗周期数为6个;23例患者(35.9%)达到PR,25例患者(39.1%)病情稳定,16例患者(25%)出现疾病进展,相应ORR为35.9%,DCR为75%。与IHC 1+患者相比,HER2 IHC 2+患者的ORR和DCR更高(ORR:40.6%vs.31.2%;DCR:84.4%vs.65.6%)。在脑转移患者(11例)中,ORR为18.2%,DCR为63.6%。既往接受过Trop-2 ADC治疗的患者(10例)均未达到缓解,DCR为50%。中位随访19.5个月后,全体患者的中位rwPFS为5.0个月,中位OS为14.9个月;HER2 IHC 2+患者的中位rwPFS为6.0个月,显著高于HER2 1+组的3.9个月(HR 0.54,95%CI:0.31-0.96,P=0.020),但两组mOS无显著差异(18.1个月vs.14.0个月,HR 0.65,P=0.220);基线有脑转移及既往接受过Trop-2 ADC治疗的患者rwPFS及OS均较差,且多变量回归分析也证实,上述二者均为独立的不良预后因子。
 
图1.研究全人群rwPFS及OS数据
 
安全性分析:总体与既往一致且可管理。93.8%的患者经历了至少一种AEs,最常见的为恶心(71.9%)、乏力(39.1%)、食欲减退(31.3%)和中性粒细胞减少(31.3%);3级或4级不良反应主要为中性粒细胞减少(9.4%)、血小板减少(7.8%)和恶心(3.1%)。间质性肺病(ILD)的发生率为4.7%,其中1例为3级ILD,并需住院治疗。部分患者(10.9%)因血小板减少、呕吐或中性粒细胞减少而调整剂量。
 
研究讨论:本研究首次提供了真实世界证据,专门评估了T-DXd在HR阴性、HER2低表达转移性乳腺癌患者中的疗效和安全性。与DB-04试验中的HR阴性亚组相比,我们的队列纳入了更高比例的既往接受过大量治疗的患者、更多伴有脑转移的病例以及既往接受过抗体偶联药物(ADC)治疗的患者。主要启示如下:
 
1、尽管基线特征较为不利,T-DXd单药治疗仍展现出具有临床意义的疗效,ORR为35.9%,中位rwPFS为5.0个月,中位OS为14.9个月。虽然这些结果略低于DB-04试验的报道(HR阴性亚组的ORR为50%,中位PFS为8.5个月,中位OS为18.2个月),但考虑到我们真实世界人群更具挑战性的临床特征,这些结果仍然令人鼓舞。
 
2、这项真实世界研究支持T-DXd作为HR阴性HER2低转移性乳腺癌患者的有效治疗选择,并将关键性试验的证据扩展到了更多样化的临床环境中。主要分层差异如下:1)T-DXd在HER2 IHC 2+患者中表现更优,提示HER2表达量在HER2低表达区间内仍具有一定预测价值。2)脑转移为不良因素:伴脑转移患者rwPFS/OS显著更短,尽管有DEBBRAH试验等数据支持T-DXd在部分脑转移情形下的活动性,但真实世界显示风险仍高。临床上需多学科协同,结合局部治疗(放疗、手术)与系统治疗,密切影像随访、严控毒性。3)既往Trop-2 ADC暴露为不良因素:rwPFS 3.1 vs 5.5个月;OS 11.1 vs 15.7个月;且该亚组未见客观缓解。这可能是由于SG和T-DXd的有效载荷结构相似,潜在的交叉耐药机制可能涉及细胞内转运改变、溶酶体降解增强、药物外排泵上调或替代性生存和DNA修复通路激活。
 
3、病理检测与分子标志物探索:HER2低表达的IHC判读存在观察者差异与空间异质性。若临床决策依赖HER2分层(1+vs 2+),建议在条件允许时进行集中化或定量化评估,如更规范的IHC流程等,以减少误判。NGS显示TP53、PIK3CA等常见变异与ORR差异不大;BRCA1突变或MYC扩增呈数值趋势性较低ORR,但未达统计学显著,样本量有限,暂不作为明确的预测依据。后续更大队列与前瞻性验证仍需关注。
 
总之,本研究表明,T-DXd对真实世界中治疗挑战性更大的HR阴性、HER2低表达晚期乳腺癌患者同样有显著疗效,在HER2 IHC 2+患者中表现更优,但对某些亚组(如脑转移患者或曾接受Trop-2 ADC治疗的患者)疗效有限,与既往报告类似;安全性数据也与T-DXd已知安全谱吻合,不良反应整体可控,而基因组学分析提示的BRCA1突变/MYC扩增,是否能作为提示患者治疗应答较差的标志物,则需未来更大规模、更全面的前瞻性研究进行评估。
 
我国真实世界研究:T-DXd为HER2阳性和HER2低/零表达乳腺癌脑转移中国患者带来获益
 
https://doi.org/10.1111/cas.70181
 
研究背景:近期证据显示,抗HER2抗体偶联药物T-DXd在HER2阳性乳腺癌脑转移中具有令人鼓舞的颅内疗效。DB-01、02和03试验的汇总分析显示,T-DXd单药治疗在稳定脑转移中的颅内无进展生存期(IC-PFS)为45.2%,在活动性脑转移中为45.5%。大规模3b/4期DB-12研究进一步证实了T-DXd在HER2阳性乳腺癌脑转移中的显著疗效。此外,包括DB-07、TUXEDO-1和DEBBRAH试验在内的几项小型前瞻性研究的初步结果也显示,T-DXd在伴有活动性脑转移的HER2阳性转移性乳腺癌中具有令人鼓舞的颅内缓解。尽管这些试验入组的患者经过筛选,但在真实世界临床实践中,接受过抗HER2-TKI经治、有明显的神经系统症状或患有软脑膜疾病(LMD)的患者很常见,但很少被纳入这些研究。因此,T-DXd在这些情况下的疗效仍不明确。另一方面,如DB-04、06和Daisy试验所报道,T-DXd在HER2低表达/零表达转移性乳腺癌中也显示出显著的颅外疗效,但关于其对HER2低表达/零表达乳腺癌脑转移疗效的数据有限。DB-04试验仅入组了24例无症状脑转移患者,报告的颅内客观缓解率为25%。迄今为止,尚无关于T-DXd用于HER2零表达乳腺癌脑转移的报告。为帮助在真实世界临床实践中制定治疗决策,我们开展了这项多中心RWS,以评估T-DXd在多样化乳腺癌脑转移人群中的疗效和安全性,覆盖HER2阳性与HER2低/零表达患者,并纳入了真实临床中更具挑战的亚群,例如活动性脑转移、有明显神经症状、较差体能状态(ECOG≥2)以及LMD。
 
研究设计:本多中心、回顾性、真实世界研究纳入确诊为HER2阳性或低表达/零表达乳腺癌脑转移并接受T-DXd治疗的患者。评估指标包括PFS、IC-PFS、OS、ORR、DCR、IC-ORR、IC-DCR和AEs。
 
患者基线特征:共纳入88例患者,其中HER2阳性58例,HER2低表达27例,HER2零表达3例。HER2阳性组中位年龄为51岁,HER2低表达/零表达组为45岁。大多数患者(89.8%)合并颅外转移,包括肝、肺、骨和淋巴结转移。16例患者合并LMD,其中4例为孤立性软脑膜疾病,7例联合贝伐珠单抗治疗。HER2阳性队列中,74.1%的患者确诊为活动性脑转移,72.4%出现神经系统症状。HER2低表达队列中,70%的患者确诊为有症状的活动性脑转移。HER2阳性组既往转移性疾病全身治疗的中位线数为3线,HER2低表达/零表达组为4线。所有HER2阳性患者均既往接受过曲妥珠单抗治疗,60.3%、84.5%和25.9%的患者分别既往接受过帕妥珠单抗、TKIs和T-DM1治疗。HER2阳性队列(60.3%)和HER2低表达/零表达队列(70%)中均有超过半数的患者既往接受过脑转移局部治疗。
 
研究结果:
 
HER2阳性队列(n=58):中位随访时间为13个月,中位PFS和OS分别为11个月和46个月,12个月PFS率和OS率分别为42.9%和88.7%。IC-PFS为13个月,12个月IC-PFS率为52.6%。HR+/HER2+和HR-/HER2+亚型之间的PFS和IC-PFS无差异。共有46例和41例患者可评估全身和颅内缓解。ORR为65.2%,DCR为91.3%,其中3例(6.7%)患者达到CR。按RECIST v1.1标准,IC-ORR和IC-DCR分别为61.0%和90.2%;按RANO-BM标准,分别为59.5%和88.1%。亚组分析显示,无论脑转移状态(有症状vs.无症状)、既往TKI经治或ECOG≥2,T-DXd均保持疗效。
 
HER2低表达/零表达队列(n=30):中位随访时间为10个月,中位PFS和OS分别为4个月和26个月。12个月PFS率和OS率分别为26.0%和55.6%。CNS PFS为5个月,12个月IC-PFS率为44.6%。此外,HR+/HER2低表达/零表达亚组(n=19)患者的PFS和IC-PFS优于HR-/HER2低表达/零表达亚组(n=11)患者,分别为10个月vs.3个月(P<0.001)和未达到vs.4个月(P=0.06)。共有21例和18例患者符合全身和颅内缓解分析条件。ORR和DCR分别为33.3%和66.7%,无患者达到CR。按RECIST v1.1标准,IC-ORR和IC-DCR分别为44.4%和88.9%;按RANO-BM标准,分别为44.4%和88.9%。值得注意的是,在3例HER2零表达患者中,1例患者颅内疾病达到PR,1例维持SD,1例发生PD。
 
LMD亚组(n=16):10例患者为HER2阳性,其中2例为孤立性LMD,8例合并BM。中位IC-PFS为16个月,12个月IC-PFS率为72.0%。6例患者为HER2低表达/零表达,其中2例仅为LMD,4例合并BM。中位IC-PFS为5个月,12个月CNS-PFS率为27.8%。1例HR-/HER2低表达患者的PFS为4个月。HER2阳性队列和低表达/零表达队列的中位OS均未达到。此外,在这16例患者中,7例接受了联合贝伐珠单抗治疗;然而,接受与未接受T-DXd联合治疗的患者之间,IC-PFS未观察到统计学显著差异(P=0.58)。
 
图2.HER2阳性和HER2低表达队列的Kaplan-Meier曲线,包括PFS、IC-PFS和OS
 
图3.不同队列中总PFS和IC-PFS的Kaplan-Meier曲线:(A)HER2+队列的PFS;(B)HER2+队列的IC-PFS;(C)HER2低表达/零表达队列的总PFS;(D)HER2低表达/零表达队列的IC-PFS
 
安全性:因不良事件导致的治疗中断发生在7例(8.0%)患者中,其中经济毒性为主要原因(4例,4.6%)。最常见的治疗期间出现的不良事件(TEAEs)包括疲劳(45.9%)、食欲下降(25.2%)和恶心(11.4%)。大多数3级及以上不良事件为血液学毒性,包括6例(6.9%)中性粒细胞减少症和4例(4.6%)血小板减少症。ILD发生在7例(8.0%)患者中,其中2例(2.3%)确诊为3级ILD并中断治疗。本真实世界队列中未发现新的安全性信号。
 
研究讨论:本研究提供了T-DXd在中国多样化乳腺癌脑转移(BCBM)人群中疗效和安全性的真实世界证据。我们的队列代表了一个临床具有挑战性但研究不足的亚组:70%为有症状活动性脑转移,18.2%的ECOG PS≥2,13.6%的GPA>3.5,18.2%LMD,30.1%为HER2低表达/零表达,且HER2阳性队列中84.5%的患者既往接受过TKI治疗,远高于既往DB系列试验中2.3%–35.6%,患者基线较前瞻性研究复杂且多样,更贴近实际临床中的患者情况。尽管如此,我们仍观察到T-DXd具有有前景的疗效。
 
在HER2阳性队列中,研究结果表明,早期使用T-DXd具有治疗优势,并且有可能为HER2阳性乳腺癌脑转移患者延迟甚至避免颅内疾病手术或放疗,且既往TKI治疗不会降低T-DXd的治疗效果。此外,在HER2阳性亚组中,未观察到HR表达对颅内缓解或生存结局有显著影响。
 
HER2低表达/零表达队列的患者也显示出令人鼓舞的颅内活性。临床试验和真实世界环境中的这种一致性,增强了T-DXd在HER2低表达疾病中具有中枢神经系统穿透性和活性的证据。
 
LMD在乳腺癌管理中仍然带来重大治疗挑战。我们的数据显示,HER2阳性和低表达/零表达LMD患者的中位IC-PFS分别为16个月和5个月。包括我们的真实世界经验在内的多项研究对疗效的一致证明,突显了T-DXd改变乳腺癌LMD患者治疗模式的潜力。
 
总之,本研究表明,T-DXd在HER2阳性和低表达/零表达乳腺癌脑转移(包括稳定和活动性疾病、有明显症状及合并LMD的患者)中具有显著且持久的颅内疗效,为常规临床实践提供了有价值的参考。
 
 
SABCS大会发布了T-DXd治疗乳腺癌脑转移的重要进展,而中山大学肿瘤防治中心(中肿)领衔的中国真实世界研究,则为复杂情况下的患者提供了宝贵证据。国内外研究共同证实了T-DXd在HER2阳性、低表达乃至零表达脑转移患者中的显著疗效,为这一治疗困境带来了实质性的改善,它有助于打破脑转移这一治疗壁垒,为不同分子分型的患者提供新的生存可能。这些成果共同推动了乳腺癌脑转移诊疗的进步。未来仍需更多临床实践探索,以期惠及更广泛的患者群体。
 
王树森教授
中山大学肿瘤防治中心乳腺癌单病种首席专家
香港大学临床肿瘤学系荣誉教授
主任医师、博士生导师
中国临床肿瘤协会(CSCO)乳腺癌专家委员会副主任委员
中国研究型医院协会乳腺癌专业委员会副主任委员
中国抗癌协会乳腺癌专业委员会常务委员
广东省临床医学学会乳腺癌专委会主任委员
广东省癌症中心乳腺癌诊疗质量控制专家委员会主任委员
广东省胸部肿瘤防治研究会乳腺癌专业委员会主任委员
现在主要从事乳腺癌内科的精准治疗、化疗、内分泌治疗及靶向治疗。
主持国自然重点项目1项、面上项目1项,省科技厅项目3项,获国家科技重大专项资助1项。
主编教材《临床肿瘤学(clinical oncology)》,参编教材或专著多部。
作为主要执笔人或参与者制定了多项国家级的乳腺癌诊疗相关指南。
在国内外期刊以第一作者或通讯作者发表论文多篇,其中近年以来以第一作者或通讯作者于JAMA、JCO、STTT、CANCER COMMUNICATIONS等杂志发表SCI论文多篇。
作为主要研究者牵头发起多中心临床研究30多项,其中包括I期临床试验6项目,Ⅱ、Ⅲ期大型多中心临床试验多项。
 
安欣教授
中山大学肿瘤防治中心内科主任医师、主诊教授、硕士生导师
中国老年保健协会乳腺癌专业委员会秘书长兼常委委员
中国临床肿瘤协会(CSCO)青委会委员
中华医学会肿瘤学分会乳腺肿瘤青年学组委员
中国抗癌协会(CACA)化疗专业委员会委员
广东省医学会肿瘤内科学分会青年委员会主任委员
广东省抗癌协会泌尿生殖系肿瘤专业委员会委员
广东省抗癌协会遗传性肿瘤专业委员会委员
广州市抗癌协会巾英分会副主任委员
乳腺癌和泌尿生殖系肿瘤内科系统治疗。主持或参与国家自然科学基金和省部级课题多项,以第一/通讯作者发表SCI论文30余篇,包括Cancer Cell,JNCI,EJC等。
 
倪梦倩
中山大学肿瘤防治中心
住院医师肿瘤学,博士研究生
研究方向:乳腺恶性肿瘤和泌尿生殖系统肿瘤的内科治疗
以第一/共同第一作者发表SCI论文5篇
 
周晴如
中山大学肿瘤防治中心
住院医师硕士研究生
研究方向:乳腺癌和泌尿生殖系统肿瘤的内科治疗
 

本内容仅供医学专业人士参考


乳腺癌

分享到: 更多